时间:2023-09-01 11:16
人气:
作者:admin
特斯拉Model S电池模组由444个18650电池组成,模组的外形尺寸如图1所示,模组的长度约为68.8cm,宽度大约是30cm,高度约7.9cm,总体积计算为大约0.163m3,表面积约为0.5145m2。模组总质量约为25.4kg,单个18650电池约47g。在特斯拉Model S中,16个模组串联连接,每辆车超过 7100 个电池。

图1 6串74并的电池模组的(a)顶视图,(b)底视图和(c)侧视图 在拆卸模组之前,对该模组进行阻抗测试,采用日置的BT3554电池测试仪,在1 kHz频率下测试正负极端子之间的阻抗,该模组在室温下的 1 kHz 阻抗为 3.25 mΩ。
为了更好地了解模组的热行为,再模组外壳上钻几个孔,温度传感器放置在包装内部和电池模组的表面。温度传感器布置如图2所示,带有蓝色边框的传感器直接连接在电池上,带有红色边框的传感器被安装在模块上的钻孔中,黑色边框表示传感器安装在集流板的顶部。

图2 电池模组温度分布测试温度传感器布置图
设定模块的电压范围为15 V(2.5 V·6)~25.2 V(4.2 V·6),电流选择117.65A。温度分布随时间演变结果如图3所示,图中右上角中传感器的位置用颜色表示。由图可知,温度峰值在传感器203和218的组件中,为48.25°C和47.14°C。在传感器238和225处检测到温度最低值,两者都在27.88°C左右。此外,打开的塑料外壳对温度有显著影响。左侧的温度明显高于右侧。
容量测试结果表明充电容量为222.706 Ah,放电容量为222.704Ah。

图3 各个测试点温度随时间的演变曲线
模组拆解过程如图4和5所示。

图4 (a)断开连接线,(b)断开集流板,(c)移除侧板,(d)提取电池,(e)胶水点

图5 (A)顶盖和底盖塑料板,(B)顶盖和底集流板,(C)绝缘垫,(D)冷却通道,(E)硬质金属板、(F)BMS、(G)硬塑料和(H)电池
拆解后,对每个电池进行目视检查,用日置BT3554测试1kHz阻抗和电压。电压测试量程在-6 V至6 V,分辨率为1 mV;阻抗量程高达300 mΩ,具有10µΩ的分辨率。拆解损坏的电池被处理了,电阻测试结果如图6所示,蓝色表示较低的阻抗,而较高的阻抗用红色表示。检测到明显较高的阻抗在左上角的一个单元格。总的来说,阻抗分布不均匀与位置没有相关性。1 kHz平均阻抗为24.69 mΩ,标准偏差为0.39 mΩ。

图6 电池阻抗
电压测试结果如图7所示,平均电压为3.6 V,标准偏差为0.002 V。在右上角拐角处,并联的74个电池比平均电压略高的,约为1 mV,这可能是由于之前使用了禁用BMS造成的。

图7 电池电压
18650电池拆解过程如图8和9所示。

图8 18650电池拆解过程

图9 拆解后的电极
电池极片的规格如图10所示,负极总长725毫米,宽度60毫米,厚度约180微米。厚度用螺旋测微计测量。极耳焊接到左侧未涂布的铜箔。正极长为665毫米,宽58毫米,厚度140微米。极耳焊接在在极片的中间,宽度为5mm没有涂布的铝箔上。负极的外侧有一个未涂布的区域,约6x7.5 cm²。正极除了在中间极耳处,其他区域都有涂层。负极和正极的总涂层面积分别为780平方厘米和765.6平方厘米,负极多出的正极Overhang面积大约为1.88%。

图10 电池极片规格尺寸
电池各组件质量分析如图11所示,将电池各组分分离,然后称重。电极质量超过电池重量的73%。电池拆解前质量是46.82克,拆解后为44.77克,可能与电解质的蒸发和损失的较,刮擦颗粒掉落有关。包含集流体的电极重34.25克,其中负极15.4克,正极18.85克。外壳包括极耳和用来固定果冻卷的胶带,重量约为8.8克。隔膜重量约1.72克。因此,假设平均电压为3.7 V,容量为3.1 Ah,测量能量密度可以计算为244.98 Wh/kg。

图11 电池组件各部分质量
电极表面和截面形貌如图12和13所示,电极截面形貌图显示正极的厚度约为149µm。铝箔14µm,单侧活性材料层的厚度约为68µm。负极的测量厚度为229µm。铜箔的厚度约为34µm,单侧活性材料层厚度约97µm的。比较千分尺测量的结果,这个测量结果值得怀疑,特别是负极极及其铜箔值。

图12 正极和负极电极的表面形貌

图13 正极和负极电极的截面形貌
电池的CT测试形貌结果如图14所示,所测量的电池直径为18mm,外壳的厚度为0.32mm。对电极的厚度进行了研究,测量了大约40层电极,计算平均负极厚度为184µm,标准偏差为17µm。正极厚度为167µm,标准偏差为25µm。使用千分尺螺丝测量负极厚度180µm,正极140µm,隔膜17µm。两者测量偏差可能是隔膜引起,因为CT扫描无法检测到隔膜。

图14 电池CT测试形貌
电极涂层的空隙迂曲度τ通过下式计算

其中,x为特定空隙体积的函数,所有孔隙率和多孔体的标称密度;Y是一个因子,可从汞孔隙率测定和表面积数据中得出;ε表示样品的孔隙率。在图15,负极颗粒分布及其相对颗粒体积以百分比表示,颗粒直径从1µm到10µm,峰值为5µm,迂曲度估计为τ=2。在图16,正极颗粒分布及其相对颗粒体积以百分比表示,颗粒直径从0.1µm到1µm,峰值为0.4µm,迂曲度估计为τ=2.04。

图15 负极颗粒粒径分布

图16 正极颗粒粒径分布
正负极极片总体参数列表如下

将正负极极片组装成半电池和全电池,电化学性能如图17-19所示。

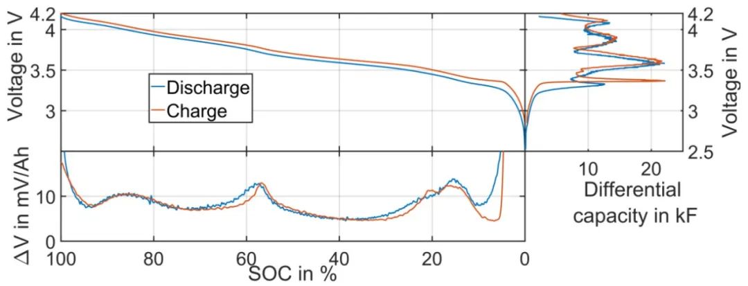
图17 全电池25°C和1/20 C倍率下的放电曲线(左上)及差分容量(右上)和差分电压(下)

图18 NCA正极半电池的差分电压分析

图19 石墨负极半电池的差分电压分析

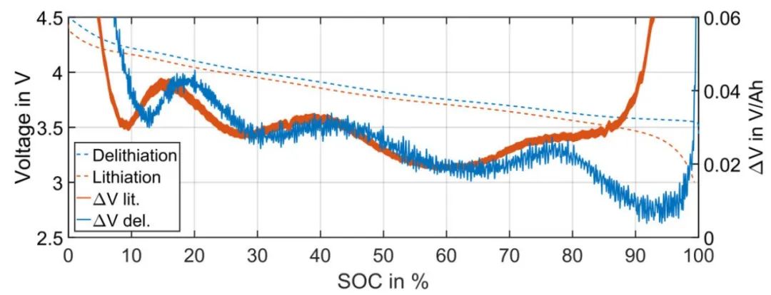
图20 负极、正极、全电池放电曲线关联分析(顶部);半电池、全电池的差分电压峰值关联分析(底部),A表示与阳极的关联,C表示与阴极的关联
编辑:黄飞
头部车企基于NVIDIA DRIVE Hyperion平台打造