时间:2023-05-25 15:47
人气:
作者:admin
802.3中对单模色散的要求
随着传输速度的提升,在10G以上,截至目前被批准的802.3的中短距离传输全部采用了的O-band的波长,特别是1310nm作为中心波长。

波长全范围为1260nm~1360nm。在实际802.3各个PMD中采用的波长不一,但均在该O-Band范围之内。
其对光纤的要求基本上对标标准的G652光纤。
比如400GBASE-FR4,规定的光纤要求,均符合G652光纤的情况。

根据零色散波长范围和最大色散斜率,可以绘制出其色散系数的范围,对于O-band范围内,其色散系数(ps/nm*km)位于蓝色和红色曲线的范围之内。

中移动的前面的前传MWDM方案则突破了这个波长范围。则原则上,标准光纤就不能完全满足该方案要求。
对于每个PMD,则根据其采用的波长和支持的通信长度,确定各个PMD的最大色散。
比如400GBASE-FR4和400GBASE-LR4-6,采用四个波长:
| 1264.5 to 1277.5 |
|---|
| 1284.5 to 1297.5 |
| 1304.5 to 1317.5 |
| 1324.5 to 1337.5 |
其正负色散范围随着支持的通信距离为

对于最长的6公里长度,则最大正色散为19.8ps/nm,负色散为35.2ps/nm。
对于400GBASE-DR4,采用4路并行光纤,中心波长为1310nm,其色散范围则非常小,在0.8ps/nm~-0.93ps/nm范围之内。

对于400GBASE-FR8/LR8/ER8 PMD,由于其最大距离达到40km,其正负色散扩展到37~-201ps/nm范围。

可以看到,各个单模PMD方案中,色散并不是一个限制问题,光纤的损耗对于性能更重要。但是对于MWDM方案,光纤的色散则成为一个问题,需要对特别是正色散进行处理。有的在标准光纤的基础上将色散曲线进行平坦化处理,但是这样处理后,其模场直径可能不能很好的兼容标准光纤。
光纤的色散问题
色散本身是一个群速度问题,在光纤中的频率或者波长范围各个频率之间总会存在时延问题。
光速等于角频率和传播常数的比值

传播常数是贯穿整个光波导的最重要的参量,如果看出一个矢量,它就是沿着光纤纵向的波矢,如果看出一个标量,则为和等效折射率对应的波数。
则群速度

色散系数则为

同一个波长,光纤材料和结构不同,对应不同的传播常数,则带来不同的色散系数。
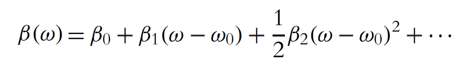
传播常数可以以中心频谱用泰勒级数展开

其中

这里的一阶传播常数就是群时延。二阶传播常数则为群速度色散。
啁啾带来的增益
对于某些内部调制的发射器来说,其内含的啁啾特性在一定的通信距离内则能均衡光纤的负色散。
对于啁啾系数为C,初始脉冲宽度和传播Z距离后的脉冲宽度之比为

对于啁啾系数为正值的情况下(脉冲信号在时间上的尾部应该为蓝移),可以看到其脉冲则被压缩,这样,在这个范围之内,很容易预测,随着通信距离的增加,反而出现增益的情况。

很多公开的文献中进行了实验, 比如下面的一个非常典型的实验结果

可以看到其误码率,相对于背靠背的情况,同样的接受功率,10公里的误码率反而进行了增强,15公里的误码率则进一步进行了增强。而同样的误码率,则更远的距离带来了更多的增益。这些均为脉冲被压缩的结果。
在这个情况下,光纤的负色散不是问题,正色散如果不能满足要求,则需要进行优化。