时间:2018-02-28 09:07
人气:
作者:admin
LED需要的驱动电源,由交流电整流后再直直变换得到,整流电路通常采用二极管桥式整流并用电解电容进行滤波,这种方式功率因数比较低,对电网带来较大的谐波污染,通过有源功率因数校正电路减小谐波对电网的污染,因此电源的拓扑结构要能够较好的实现PFC,同时损耗也是需要考虑的重要因素,最后LED的电源通常都需要封闭起来,变换器的尺寸也受到限制。因此选择的变换器应具有以下优点:器件少,高效率,尺寸小。常用的有源功率因数校正的拓扑结构有BOOST,反激变换器,SEPIC等。BOOST变换器简单,效率比较高,但是其只能实现升压,适合于输出电压高于输入电压的场合,LED驱动电源需要升/降压,因此不能选用BOOST。隔离型的反激变换器也可以实现功率因数校正,输出电压既能升压又能降压,但是反激变换器中的变压器只工作在第一象限,磁芯利用率不高,同时需要加上一些缓冲电路,变换器的效率不高,且电源尺寸大。而SEPIC电路的输出可以实现升压也可以实现降压,而且相对反激变换器,SEPIC变换器的输入电流是连续的,用于滤波的输入电感体积小,且SEPIC不需要添加缓冲电路,可以减小电源的尺寸,提高电源的效率,所以选择SEPIC电路作为驱动电路的拓扑结构。
图1为基于SEPIC变换器的高功率LED照明电源主电路和控制电路简图。LED的亮度和流过LED的电流大小基本是成正比的,只要控制LED的电流大小就可以调节LED的亮度。图1中C1上的电压为经过桥式整流后的电压,R1和MOS管串联,采样流过MOS管的电流,R2和负载LED串联,采样负载电流信号。

从图1可以看出,R2对流过LED上的电流采样,得到的信号和基准信号Vref进行比较,其误差经放大器放大后,作为乘法器的一路输入,用于控制LED的亮度,改变采样电阻R2的大小,就可以改变LED的亮度。乘法器的另一路输入为输入端电压的采样信号,乘法器输出结果再与MOS管和电感L1的电流采样信号相比较,产生的PWM脉冲用于控制MOS管的开关,实现对负载电流和输入电流的控制,最终完成LED亮度调节和功率因数校正。
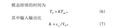
根据流过D5的电流是否总大于零将SEPIC电路的工作模式分为断续工作模式,连续工作模式(continuouscurrentmode,CCM)和临界连续工作模式,采用BCM实现PFC。临界连续模式下不同开关模态下的等效电路如图2所示。下面分析中Ts表示开关周期,Ton,Td分别是一个周期内MOS管导通和二极管导通的时间。

1)工作模式一:MOS管开通
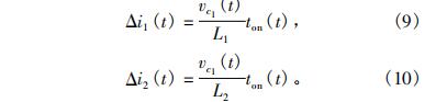
为MOS管导通时SEPIC电路的等效电路图。在t=0时,MOS管Q导通,二极管D5截止,图中把C1的电压vc1作为电源电压,这是一个经过二极管桥式整流后的脉动波,脉动波的峰值用VC1表示。由于开关频率远大于母线频率,因此在一个开关周期内母线电压可以认为是不变的,即认为C1上的电压vc1是恒定的,输入为一个直流信号。这时形成两个回路:第一个是电源C1,L1和Q回路,在vc1的作用下,电感电流iL1线性增长,电流波形如图3(a)所示。第二个是C2,Q和L2回路,电感电流iL2线性增长,同时C3向负载供电,电流波形图如图3(b)所示。假设在t=0时刻流过电感L1电流和流过L2电流分别是iL1(0)和iL2(0),当Q导通时,加在L1的电压为vc1,可以证明当C2大小选择合适有vc2=vc1,则L2上电压也为vc1。可以得到

式中0≤t≤Ton。从以上3个式子和图3都可以看出,当t=Ton时,iL1(t)和iL2(t)最大,这时MOS管关断,工作模式一结束,MOS管上电流波形如图3(b)所示。

2)工作模式二:二极管导通
图2(b)为MOS管关断时SEPIC电路的等效电路图。当t=Ton时MOS管Q关断,此时形成两个回路,第一个是电源C1、L1、C2经过二极管D5到负载,电源和电感L1储能同时向C2和负载馈送,C2储能增加,而iL1减小;另外L2经D5至负载的回路,L2储能释放到负载,故iL2下降,电流波形如图3(a),(b)所示。由于D5导通,加在L2上的电压为-V0,其中V0为输出电压,同时C1上的电压等于输入电压,所以加在L1上的电压也为-V0,当iL1=-iL2时流过二极管D5的电流下降到0,二极管关断,二极管电流波形如图3(d)所示。这时MOS管Q就导通,电路工作在临界连续模式。根据以上分析,二极管导通阶段可以得到


通过选择合适的R3,R4,C4和C5值调节控制环路补偿参数,使得本电源的整个控制环路的带宽小于20Hz而低于线电压频率,补偿器的输出可以被认为在1/2个工频周期内是恒定的,因此MOS管的峰值电流与线电压成正比,MOS管的峰值电流也是正弦曲线,正弦曲线的峰值用Ipk表示,可以得到MOS管电流的峰值。

在临界连续模式下,根据式(1)和式(2)可以得到

其中ton(t)为半个工频周期范围内每个开关周期中MOS管导通时间。当MOS管Q导通时,根据式(3)可以得到流过MOS管的峰值电流为

通过式(12)可以看出,当SEPIC电路工作在临界连续模式时,在一定的输入电压和负载条件下,MOS管的开通时间是固定的。根据L1,L2上的伏秒平衡可得td(t)=Tonvc1(t)/V0,可以得到MOS管的开关频率为

可以看出来,临界连续的SEPIC电路的开关频率是随着输入电压变化的,这和工作在恒定开关频率的DCM是不同的。
考虑到电路工作在临界连续模式下,MOS管刚开通时流过MOS管的电流为0,根据C2上的安秒平衡可以得到


是理想的正弦波,功率因数为1。同时当K很小的时候,可以使功率因数接近1。