时间:2017-12-05 16:56
人气:
作者:admin
介电常数描述的是材料与电场之间的相互作用。介电常数 (K*)等于复数相对介电常数(ε*r),或复数介电常数(ε*)与真空介电常数(ε0)的比值。复数相对介电常数的实部(ε‘r) 表示外部电场有多少电能储存到材料中;对于绝大多数固体和液体来说,ε’r〉1。
复数相对介电常数的虚部(ε“r) 称为损耗系数,表示材料中储存的电能有多少消耗或损失到外电场中。ε”r始终〉0,且通常远远小于ε‘r。损耗系数同时包括介电材料损耗和电导率的效应。
如果用简单的矢量图表示复数介电常数,那么实部和虚部的相位将会相差90°。其矢量和与实轴(ε’r)形成夹角δ。通常使用这个角度的正切值tanδ或损耗角正切来表示材料的相对“损耗”。

使用平行板法测量介电常数
当使用阻抗测量仪器测量介电常数时,通常采用平行板法。

平行板法在ASTM D150标准中又称为三端子法,其原理是通过在两个电极之间插入一个材料或液体薄片组成一个电容器,然后测量其电容,根据测量结果计算介电常数。在实际测试装置中,两个电极配备在夹持介电材料的测试夹具上。阻抗测量仪器将测量电容(C)和耗散(D)的矢量分量,然后由软件程序计算出介电常数和损耗角正切。
当简单地测量两个电极之间的介电材料时,在电极边缘会产生杂散电容或边缘电容,从而使得测得的介电材料电容值比实际值大。边缘电容会导致电流流经介电材料和边缘电容器,从而产生测量误差。
使用保护电极,可以消除边缘电容所导致的测量误差。保护电极会吸收边缘的电场,所以在电极之间测得的电容只是由流经介电材料的电流形成,这样便可以获得准确的测量结果。当结合使用主电极和保护电极时,主电极称为被保护电极。

接触电极法
这种方法通过测量与被测材料(MUT)直接接触的电极的电容来推导出介电常数。

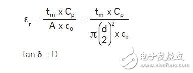
介电常数和损耗角正切通过以下公式 计算:

其中Cp: MUT的等效平行电容 [F]
D: 耗散系数 (测量值)
tm: MUT 的平均厚度 [m]
A: 被保护电极的表面积 [m2]
d: 被保护电极的直径 [m]
ε0: 自由空间的介电常数 =8.854 x 10-12 [F/m]
接触电极法不需要制备任何材料,而且测量操作非常简单,因此得到最广泛的使用。不过在用这种方法进行测量时,如果没有考虑到空气间隙及其影响,那么可能会产生严重的测量误差。
当电极直接接触 MUT 时,MUT 与电极之间会形成一个空气间隙。无论 MUT 两面组成得多么平坦和平行,都不可避免会产生空气间隙。这个空气间隙会导致测量结果出现误差,因为测量的电容实际上是介电材料与空气间隙串联结构的电容。

通过用薄膜电极接触介电材料的表面,可以减小空气间隙的影响。虽然需要进行额外的材料制备 (制作薄膜电极),但可以实现最准确的测量。
非接触电极法
非接触电极法从概念上来说融合了接触电极法的优势,并避免了其缺点。它不需要薄膜电极,但仍可解决空气间隙效应。根据在有 MUT 和没有 MUT 时获得的两个电容测量结果推导出介电常数。

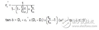
理论上,电极间隙 (tg)应比 MUT的厚度 (tm) 略微小一点。换句话说,空气间隙(tg-tm) 应远远小于 MUT 的厚度(tm)。要想正确执行测量,必须满足这些要求。最少要进行两次电容测量,以便使用测量结果计算介电常数。

其中Cs1: 未插入 MUT 时的电容 [F]
Cs2: 插入 MUT 时的电容 [F]
D1: 未插入 MUT 时的耗散系数
D2: 插入 MUT 时的耗散系数
tg : 被保护/保护电极与未被保护电极之间的间隙 [m]
tm: MUT 的平均厚度 [m]
如果需要测量固体材料的介电常数,比如陶瓷材料。需要使用介电温谱仪测量。三琦介电温谱仪中的测试夹具依据国际标准ASTM D150方法设计,采用平行板电极原理,测试电极由上下电极+保护电极组成。上下电极具有良好的同心度和平行度,保护电极可减少周围空气电容的影响,使得测试数据更加准确可靠。
因此,在测量前,需制备好样品。为了确保测量结果的准确性,样品制备需要遵循以下几点:
1、样品大小:直径5-40mm(电极直径为26.8mm),厚度小于8mm;
2、样品形状制备为圆盘样品,两面镀上电极;
3、样品表面须平整光滑,才能保证与平行电极接触良好。否则,测出的电容值因为存在接触间隙而导致测试的值有误差,影响测试结果。
最后,使用介电温谱仪自动完成材料的高温介电常数测量。其测量软件可同时测量及输出频率谱、电压谱、偏压谱、温度谱、介电温谱数据。支持TXT、Excel、Bmp格式导出。