时间:2016-02-22 09:10
人气:
作者:admin
我们都知道LED是一种半导体发光器件,半导体是一种热敏器件,也就是说它对于温度是非常敏感的。或者说温度会直接影响它的性能和参数。作为一个电-光转换器件它最重要的指标就是输入多少瓦的电功率,输出多少光通量(流明),我们称之为光效(发光效率),这个指标代表了LED的最重要的质量指标。用户也就是根据他所需要的光通量(流明数)来选用瓦数最小的LED。
然而虽然LED器件本身有一个光效,但是不等于用户就能够直接享用这个光效,因为把这个LED器件组装成为灯具就会损失一部分光效。我们先不考虑光罩的透光率(假定为100%,实际上通常在90%左右),而主要来考虑LED光源本身的光效。这种光效我们也分为冷光效和热光效两种。可能大多数人都不会注意这两种光效的区别,所以我们在这里要先来讨论冷光效和热光效问题。
1. 什么是冷光效什么是热光效
简单地说冷光效就是在LED光源处于室温(25?C)时所测得的光效,而热光效则是等LED光源热稳定以后所测得的光效。具体来说,我们通常采用积分球来测LED光源的光效,那么在接通电源以后立刻测所得的光效就是冷光效(假定那时候的室温就是25度),这个“立刻”大约在5秒以内。而热光效是至少要等半小时到3刻钟以后才能达到热平衡(或热稳定)。现在我们通常说的光效都是冷光效,或者说通常我们在外壳上或外包装上标明的光效指标大多数都是冷光效。
对于绝大多数用户来说,他们关心的实际上主要是热光效。因为LED照明都是会使用超过半小时的,遗憾的是,用户只知道这个灯具的冷光效而不知道这个灯具的热光效,这在某种意义上说,这是一种无意的瞒骗消费者的行为。
不管怎样,我建议,今后都应该以热光效作为光效指标,标明在包装盒上。
2. 冷光效和热光效有多大的区别
下面我们就来看一下冷光效和热光效到底有多大的区别。我们为了深入了解各家知名品牌的LED的PAR灯的冷热光效的差别,特地到美国和日本去购买了几种知名品牌LEDPAR灯来进行实际的测试,所得的结果如下表所示:

其中起始值是接通电源后立刻测量,终了值是指经过半小时等待以后的测试值。
例如飞利浦公司的432195型球泡灯的输出流明,在半小时后,从1860lm降低至1680lm,降低至92%。具体流明下降过程如下图所示。

实际上半小时还没有完全到达稳定值,可能还需要三刻钟或一小时才能真正稳定。
由上表可得出如下结论:
(1)所有各品牌LED灯具的光效起始值和终了值都是不同的。
(2) 其差异最小为0.97,最大为0.86
(3) 输入功率的差别实际上是和LED的热特性无关。
(4) 光效的差别则主要是由于LED结温的升高所致。
(5)结温升高是无法避免的,因为LED本身效率只有40%左右,其他都转化为热量,所以加电以后热量逐渐增加,最后从室温升到热稳定值。但升高值的大小是和散热器的好坏有关的。散热器越好温升越低。所以,为了减小热光效和冷光效的差别,应该尽可能地采用好的散热器。
3.LED光引擎的冷热光效
我们为什么要特别研究LED光引擎的冷热光效呢,这是因为光引擎有其特殊之处。所谓光引擎实际上就是把LED电源也放到LED光源所在的铝基板上,这样一来,LED电源所消耗的电能也都释放在铝基板上,这就增加了铝基板所要散发的热量,也就会提高LED在热稳定以后的结温。下面举一个例子来说明,目前市面上最常见的是一种无电解电容光引擎,它的电源效率通常只有85%左右,这就意味着将会有15%的输入功率转换为热量而加到铝基板上。假定总的输入功率为10瓦,剩下的8.5W加到LED,假定LED本身的发光效率为40%,也就是只有3.4W的功率转变为有用光,还有 5.1W的功率变成热。本来铝基板只要散这个5.1W的热量,现在要加上电源的15%也就是1.5W的热量,总共需要散去6.6W的热量,增加了 29.4%的热量,接近30%。而铝基板的热阻都没有变化,功率加大就意味着温度升高,铝基板的温度升高,意味着在同一个铝基板上的LED的环境温度升高,结温也随着升高,其结果就是光效降低。
4. LED光引擎冷光效和热光效的实际测试结果
我们测试了一家深圳公司生产的60W无电解电容光引擎,以及埃菲莱公司生产的60W有电解电容光引擎。二者的外形照片如下:

深圳某公司无电解电容60W光引擎 埃菲莱公司有电解电容60W光引擎
在测试时采用了同样的散热器,以免由二者散热的不同而影响测试的结果。这两种光引擎的总光通量随时间的变化结果如下:

深圳某公司的无电解电容光引擎光通量 埃菲莱的有电解电容光引擎光通量
前者的总光通量从刚开机的5780lm,在半小时以后下降到5120lm,大约下降了11.4%,而且从下降趋势来看,还应该会随时间进一步下降到5000lm。而埃菲莱公司的光引擎光通量从7233.8lm下降到6486.8lm。
两者的输入功率变化曲线如下图所示:

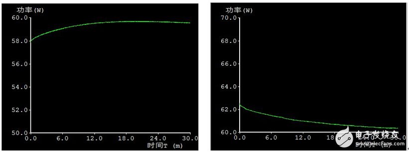
深圳某公司60W光引擎电功率变化 埃菲莱公司60W光引擎电功率变化
深圳某公司的光引擎因为还采用了功率补偿(见上图),它的输入功率在30分钟内从57.81W上升到59.53W。所以它的光效是从 100lm/W降低到86lm/W,降低了14%。如果采用最后稳定后的热光通量为5000lm,它的最后光效只有84lm/W,下降了16%。而它的标称光效是100lm/W,如果从冷光效来看,还是达到的,但是如果从热光效来看,那就差了16%。
而埃菲莱光电公司的60W有电解电容光引擎,它的功率在30分钟内从62.53W下降到60.354W(更接近额定值60W),所以它的光效从一开始的115.68lm/W,下降到107.48lm/W,只下降了7.1%,和一般灯具下降范围差不多。这相当于LED的结温从25度室温上升到设计的额定值85度左右的结温而引起的正常光效下降。这是因为埃菲莱公司的恒流源效率高达99%。所以把这么高效率的恒流源集成到铝基板上是不会增加热稳定以后LED的结温的。所以冷光效和热光效的差别还是属于正常值的范围。
顺便说一下,我们在这里比较的两种光引擎的差别也绝不是由于LED本身的光效不同而引起的,前者某公司的无电解电容光引擎所采用的LED是很大的晶片3535,其面积为1225mil2,而那个埃菲莱的有电解电容的光引擎所采用的LED是3518,其面积只有630mil2,相差高达 595mil2,而且还是前者为大。而埃菲莱的热光效的绝对数值也是高达107.48lm/W,远比该公司的86lm/W要高出25%之多。
5.各种无电解电容光引擎的差别
虽然我们只测了某一家公司、某一种产品的冷热光效的区别。可能有人会提出这是以点代面,不够全面的意见。假如从数据的准确程度来说的确是这样,然而如果用数据的大致结果来说,这些结果是有很大代表性的。其实道理很简单,造成冷热光效的区别的主要原因就是因为把低效率的恒流源集成到了和光源在一起的铝基板上,这样就造成了LED的结温比没有恒流源的结温要高,所以它的热光效就一定低。对于开关电源来说,它的效率是有可能达到95%的,可是由于开关电源元件多,体积大,是不可能集成到铝基板上去的。所以目前所有集成到铝基板上去的都只能是线性电源。当然线性电源的种类也有不少,现在用得最多的就是一种分段点亮的无电解电容光引擎,还有就是直接采用恒流二极管的有电解或无电解电容的光引擎,但是不管是哪一种线性电源,它的效率曲线都是完全一样的,都是随着市电电压的增加而直线降低,在220Vac时都是在85%左右(见下图)。

所有线性恒流源的效率
而埃菲莱公司的恒流源虽然也是一种线性恒流源,但是由于采用了自适应智能调节技术(埃菲莱的电源芯片称为AICS,就是“自适应智能电流源”的缩写),使得其效率高达99%(见下图)。

埃菲莱恒流源的效率(蓝线为恒流源本身的效率,红线为包括整流器的总效率)
埃菲莱的光引擎为了去掉整流器的影响,通常把整流器和所有保护元件放在铝基板外面,在铝基板上只有效率为99%的恒流源。所以它的冷热光效就能保持和没有恒流源时一样。
结束语
从这里我们得出一个重要的结论,就是:只有效率极高的恒流源才能够集成到铝基板上做成光引擎,才不至于因为恒流源的低效率提高LED的结温而降低其热光效。把效率低的恒流源集成到铝基板的结果是提高了LED的结温,从而降低了它的热光效,而且这种冷热光效的差别远大于普通LED灯具的差别,上面例子中差别高达15%以上。
所以我们更应该要求所有使用光引擎的LED灯具生产厂家都应该把热光效标明在产品的外包装上。以免误导消费者。