时间:2015-07-26 00:43
人气:
作者:admin
LED 光源近十年来发展达到了新月异的程度,很快应用到汽车、建筑物、医疗、景观照明等终端市场,LED 照明变得比传统照明更加可靠及高效, 在市场上也越来越普及。但LED 的安装使用却受到输电线铺设的束缚,影响了其使用场合的灵活性;同时,由于LED 本身,驱动源的高频变压器、功率开关管等非线性器件的存在,会导致引入电网中的谐波电流增大,影响电网供电质量。而目前却少见有同时考虑降低无线供电给电网带来谐波影响的无线LED 照明等成套的系统报道。因此本文给出了一套具有谐波补偿功能的LED 无线驱动方案。该方案能在方便LED 灵活安装的同时,根据光照的采集反馈来调节LED 至合适亮度。这些对LED 的普及,提高供电安全性和可靠性,高效节约电能都将十分有益。
1 系统的总体设计
本系统主要有:无线供电模块、恒流驱动源模块、有源电力滤波器(APF)模块、控制电路,系统总体框图如图1 所示。其中,逆变装置、整流滤波2 构成无线供电模块;正激变换电路、整流滤波3 构成恒流源驱动模块。MCU 通过光电池进行光照采集对输出电流进行反馈调节以使输出稳压、恒流。APF通过主控制器输出电流来抵消由无线驱动模块注入电网的电流谐波,以改善输入端电能质量。

2 系统电路设计
2.1 无线供电系统设计
无线供电系统由控制端、发射端、负载整流电路组成,分别通过电磁耦合(近距离传输方式)和电磁共振(远距离传输方式),实现无线供电,系统结构图如图2 所示。

发射端主要由逆变器和传输通道组成。逆变器负责将直流电(DC)转化为交流电(AC)的装置,它由逆变桥、控制逻辑和滤波电路组成。近距离逆变频率为200~500 kHz,通过电磁耦合的方式传输,使用U 形松耦合铁氧体磁芯隔离实现无线供电,如图3。

远距离逆变频率为1 MHz,通过电磁共振的方式传输,采用空心变压器耦合, 将初级和次级分别缠绕在圆筒上,作为传输介质,达到远距离电能传输,如图4 所示。

本系统通过智能切换传输方式,达到稳定的高效传输电能。次级在初级等效电阻与距离的关系如图5,z 为阻抗,L 为距离,只有在L0 的位置等效阻抗为最小。根据此原理,当接收距离远离L0 时,阻抗增大,初级电流减小,通过霍尔电流传感器采集初级输入电流大小,判断模式的切换。

2.2 恒流源电路
恒流源系统主要由DC/DC 正激变换电路和MCU 控制电路组成。正激变换电路为LED 恒流驱动源,如图6。逆变器输出经整流滤波后以芯片L7824ACV 作稳压,为DC/DC 变换电路提供+24 V 输入。该结构的恒流源具有高精度输出的特点,其输出功率取决于变压器参数的选择,一般能达32 W 以上,满足大多数人LED 照明应用场合的功率要求。

该电路采用TL494 作恒流控制芯片, 开关频率fosc由式fosc=1.1/(RTCT)设定,通过电位器R4 调节死区时间,其电流输出误差可《1%。图6 中,RS 为电流取样电阻; R3 为反馈电压采样电阻,用来限制最大输出电压。当输出电流变化时,引脚2(1IN-)的电位也随之变化,通过TL494 内部误差放大比较以后改变PWM 驱动信号的占空比, 实现输出电流的负反馈调整。单片机通过A/D 采集光电池电压, 进行判断后输出PWM 经过低通滤波器变成大小与占空比成正比的基准电压来改变输出电流大小, 达到自动调节LED 发光强度的目的,其中运放作的电压跟随器起隔离和增强驱动能力的作用。调节R2 可改变基准电压与输出电流的比例关系。L1、D3 为磁泄放绕组,以防止变压器初级线圈磁饱和,使在开关管关断期间能为初级线圈提供磁复位。由于TL494 驱动能力有限,所以通过三极管推挽输出,增加TL494 驱动能力。
表1 为以输出16 W 为例的DC/DC 变换电路实物测试结果,证明了该恒流源能够实现较高效率和高精度的电流输出。

2.3 谐波补偿系统
2.3.1 系统硬件结构
谐波补偿系统硬件主要由有源电力滤波器(APF)完成,结构如图7 所示。本文采用TMS320F2812型号的数字信号处理器(DSP)作为核心控制和信号处理单元。调理电路主要有电流/电压传感器信号放大、整流,抗混叠滤波。电流传感器1采样负载端三相电流,通过信号调理电路送入DSP 经A/D 采集后作谐波电流萃取算法和控制算法处理,并驱动逆变器对谐波电流作相应的抵消, 以电流传感器2 采样输出的补偿电流作反馈调节。逆变器直流母线电压经霍尔电压传感器变换供给DSP 的内部A/D 采集,通过算法控制其直流侧电容电压稳定。三相电压信号的过零点作为过零触发信号,作为每个周期软件处理清零和起始信号。

2.3.2 谐波电流萃取算法
1)三相瞬时无功功率原理
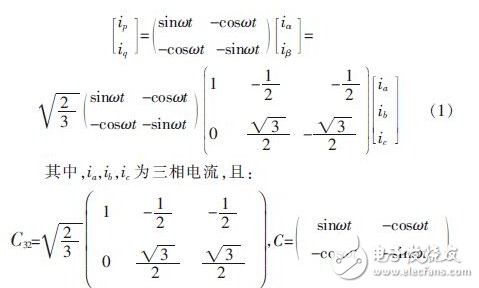
该补偿系统软件部分主要包括谐波电流萃取算法,采用目前常用的三相瞬时无功功率理论(亦称ip-iq 算法)。该检测法通过某一转移矩阵将三相电流与基于该理论所分解出的ip 和iq 电流分量有机地结合起来,并以此为出发点可以分别得到三相电流谐波和无功电流,其表达式为:

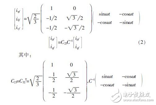
通过低通滤波器(LPF)可将对应基波电流的分量分离出来,由于ipf,iqf,可由基波分量iaf,ibf,icf 变换得到,因而ipf,iqf,经反变换即可得到三相电流中的iaf,ibf,icf 即:

当要求同时检测出谐波和无功电流时, 只需忽略计算ip的通道, 由ipf 计算出被检测电流的基波有功分量iapf , ibpf ,icpf,即:

将ia,ib,ic 与iapf,ibpf,icpf 相减,即可得出ia,ib,ic 的谐波分量波和基波无功分量。
2)仿真结果
文中基于DSP 编译环境CCS3.3 的仿真模式对该算法进行仿真,假设原三相输入电流为相位差120°的50 Hz正弦波,并以单相被削波失真为例说明。图8(a)为单相削波失真波形,根据总谐波畸变率(THD)计算式:
其中Ih 为各次谐波电流的有效值,I1 为基波电流有效值, 对波形作频谱分析可计算得该相初始电流为12.2%。图8(b)为经算法提取谐波后的基波波形,经三相瞬时无功功率算法滤波后,谐波电流基本消除,原始波形被还原。

3 结论
该系统没有电线的限制,LED 可以在无线供电接受范围内任意安装,并通过光电传感器自动感光来调节LED 亮度。同时利用有源电力滤波器谐波补偿技术, 设计出与无线驱动模块配套的消谐波装置,以滤除系统运作中的高次电流谐波,降低输电网的总谐波失真。本设计可以应用到家居、车载、场景或景观LED 照明中,有效地提高照明分布的灵活性,节约电能和减小光污染,并改善电能质量,有着广泛的应用前景。
上一篇:历数智能家居还看智能照明