时间:2023-07-06 11:15
人气:
作者:admin
一、带隙基准反馈极性分析:
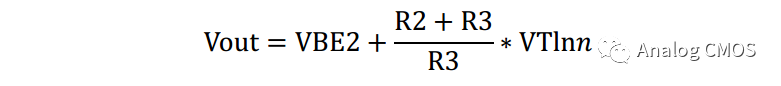
1.1****原理图一:

输出电压:

我们知道对于上图的pnp二极管接法,向下看的输入阻抗是1/gm,那么对于Q1和Q2他们个数不同,电流相同的情况下,输入阻抗一样吗?换句话说:

对于三极管的gm表示方式:

因为两个pnp的电流一样,所以根数上式,可以得到:
gm1=gm2
也就是:(为了方便,把PNP的输入阻抗表示成RQ)

主要来分析一下电路的反馈:
反馈信号从输出端反馈回两个输入端 A 和 B
反馈类型是:
电压-电压反馈
由于前馈通道的绝对值一样,所以直接比较正反馈因子和负反馈因子,来分析反馈极性
负反馈因子:

正反馈因子:

观察βn和βp,两个分式的分母在同一个量级,而分子:
RQ <
**
所以:
βn<<βp
也就是说这个bg结构含 有两个反馈环路 ,一个是正反馈一个是负反馈,负反馈的环路增益大于正反馈,所以整个系统还是负反馈。
下面我们来看看另外一个比较常见的bg结构
** 1.2 原理图二:**

输出电压:

反馈类型判断:
反馈量是电流,电流乘以如图的Req得到电压(VA、VB)作为运算放大器的输入,所以反馈类型是:
电流—电压反馈
正确接法****环路增益计算:

错误接法****环路益计算:

**1.3 **原理图三:


对于图3:
输出电压:

反馈类型判断:
由于反馈量是电流,电流乘以 Req 得到电压作为输入,所以反馈类型是
电流-电压反馈
正确环路****增益计算:

错误环路****增益计算:

总结:以上三种或者说两种Bandgap Voltage电路,有 两个反馈环路 (正反馈环路、负反馈环路),我们需要注意分析电路的结构,设置正确的偏置方法,在反馈类型上确定电路的稳定。
**
上一篇:如何使用半导体制造二极管?
龙腾半导体SGT MOSFET LSGT085R018在智慧农业无