时间:2023-04-24 09:41
人气:
作者:admin
实验名称:
功率放大器在压电驱动器输出力迟滞效应研究中的应用
研究方向:
压电驱动器
测试目的:
针对压电驱动器输出力的动态迟滞现象,研究固定频率下的输出力建模方法以及任意频率下的输出力建模方法。
实验内容:
针对压电驱动器输出力的动态迟滞现象,研究在不同频率条件下的输出力控制方法,并进行压电驱动探针检测的可行性实验验证,主要从搭建压电驱动器输出力实验系统、研究固定频率下输出力迟滞建模方法、研究任意频率下输出力迟滞建模方法、完成任意频率下输出力控制实验四个方面开展研究。

实验设备:
ATA-308功率放大器、压电驱动器、上位机、数据采集卡、力传感器等。
实验过程:
在实验平台同步采集压电陶瓷驱动器的输入电压和输出力信号,如下图a所示,而输入电压与输出力的关系如下图b所示。当输入电压为衰减正弦波时,在电压-输出力曲线图中表现为多个大小不一的迟滞环。该实验中电压-输出力曲线,说明输出力的值与当前是处于电压上升阶段还是电压下降阶段有关,同时与压电驱动器之前输入电压的极值相关。该实验验证压电驱动器在电压-输出力关系表现出了和在电压-位移关系同样的迟滞现象,它是一种多值映射关系,且迟滞现象具有记忆特性。迟滞现象具有记忆特性的同时,还表现出了擦除特性(Wiping-out)与一致特性(Congruency)。

实验结果:
1、擦除特性

图中16s之前的输入信号所产生的输出力表现在电压-输出力曲线如上图b所示,表现为1个迟滞主环和3个依附在迟滞主环上的迟滞子环。16s后的信号产生的迟滞环和0到2s的信号所产生迟滞环重合,说明2s到16s的信号不影响16s之后的信号,16s之后的信号擦除了之前的历史极值,使电压-输出力曲线重新回到了迟滞主环之上。此实验很好说明了在电压-输出力迟滞现象中的擦除特性。
2、一致特性

在时域信号中5s到10s之间与30s到35s之间存在局部极大值和局部极小值分别为60V和30V的两个相同的三角波信号。在电压-力曲线上表现如上图b所示,由于历史极值的不同,迟滞子环在电压-输出力平面上的位置发生了改变,但是迟滞子环大小完全相同,形状全等。迟滞现象的一致特性对后续的建模和控制算法能够带来一定的启发作用,迟滞现象的一致特性说明压电驱动器的迟滞现象存在一种固定的非线性映射关系,而不是一种随机时变的状态。
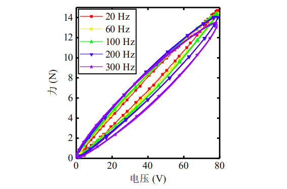
3、频率相关性

通过迟滞现象频率相关性实验,实验采用参数如下:输入电压幅值为0~80V,频率分别为20Hz、60Hz、100Hz、200Hz、300Hz的正弦波激励压电驱动器,同步采集输入电压与输出力绘制不同频率下的电压-输出力迟滞曲线。
ATA-308功率放大器

放大器在该实验中发挥的效能:
在比较几款驱动方案中,利用D类放大的电路,都会波形失真的现象,无法满足本实验中的实验要求。ATA-308功率放大器,采用AB放大电路,失真小,而且作为压电叠顿的放大驱动,所驱动的功率也合适,且在实验过程中可以直接采用面板调节驱动电压,比较直观。
龙腾半导体SGT MOSFET LSGT085R018在智慧农业无