全球最实用的IT互联网信息网站!
AI人工智能P2P分享&下载搜索网页发布信息网站地图
如何进行过热保护电路分析?
阅读全文2017-10-30
数电模电的基础知识分享
阅读全文2017-10-29
开关电源设计知识之输出滤波器设计
阅读全文2017-10-27
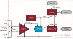
无线电流检测之微功率零漂移运算放大器知识分
模拟设计分析思路及硬件知识准备
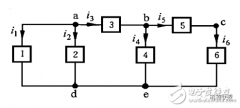
一起来看基尔霍夫定律在产品设计中的应用
钽电容反接会产生怎样的后果?
二极管储存电荷为何一直容易被忽视
Analog Discovery2,一个可以让硬件开发者随心所欲动
滤波器设计及电路主要分这四大类
阅读全文2017-10-26
数字电压表设计教程之LTC2308数据手册解读
慧能泰负载开关HUSB305A产品介绍
德州仪器新型单级转换器助力微型逆变器
IGBT短路失效分析
CPU | 内存 | 硬盘 | 显卡 | 显示器 | 主板 | 电源 | 键鼠 | 网站地图
Copyright © 2025-2035 诺佳网 版权所有 备案号:赣ICP备2025066733号 本站资料均来源互联网收集整理,作品版权归作者所有,如果侵犯了您的版权,请跟我们联系。