时间:2022-08-12 16:47
人气:
作者:admin
1.1 应用范围
有不同种类的应用需要考虑角度响应。这些应用大多使用(非常)发散的光束。在这种情况下,我们在一幅图像中有连续的入射角范围。照相机的灵敏度取决于激光束的入射角,这是由过滤器和传感器造成的。
1.2 角度线性原因

1.3 过滤器
这里,我们将只考虑吸收滤波器。如果光束没有垂直入射到滤光器上,则通过滤光器的路径较长。较长的路径导致较强的吸收,因此相机(滤光片和传感器)的响应较低。与过滤器相关的效果是各向同性的。但是,如果滤光器相对于传感器倾斜(取决于相机型号),则会在滤光器倾斜的方向上产生各向异性。
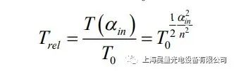
入射角αin的线性透射可以用数学方法描述,如果透射指数为垂直光束T0和折射率n已知。

因为对吸收性滤光片来说,T0与波长有很大的线性关系,与入射角度有关的相对透射率Trel也与波长密切相关。
1.4 传感器
角度响应取决于传感器技术、传感器类型、波长和微透镜。通常它不是各向同性的。

图1:KAI-16070对单色光(未知波长)的角度线性灵敏度。参考:KAI-16070的数据表

图2 CMX4000白光的角度线性灵敏度
如这些示例所示,对于不同类型的传感器,角度响应可能完全不同。因为这种效应还 取决于波长和单个传感器(每个传感器表现出稍微不同的行为),取决于波长的校准是必要的。两个传感器都显示出各向异性。为了考虑校准中的各向异性,需要比仅在x和y方向上更复杂的测量。
往下滑动,扫码查看产品详情↓
1.5万元激光光束分析仪

扫码查看产品详情
UV-NIR光束分析仪(150-1700nm)

扫码查看产品详情
紧凑型高精度M2(光束分析仪)

扫码查看产品详情
大口径光束分析仪-CinCam CCD/CMOS系列

扫码查看产品详情
近场光束分析仪

扫码查看产品详情
2 涂层
通过一种特殊的涂层,我们可以消除(主要是抑制)传感器本身的角度产生。剩余的影响角度的灵敏度是由滤波器引起的。这产生了以下主要优点:
1)剩余的角度响应是各向同性的,这意味着它不再取决于入射角的方位角。
2)剩下的角度响应的校正系数更小,因此更不容易出错。
下面的图表显示了CinCam CMOS Nano 1.001在940nm下的两个角度响应测量值,前面有CMV4000传感器和OD8吸收滤光片。
第一张图表中的摄像机采用默认设置,没有特殊涂层。

图3:CMV 4000传感器在x(蓝色)和y(橙色)方向的角度响应,前面有OD8吸收滤光片,在940nm处测量。上半部分显示相对角度响应,下半部分显示测量点和最佳拟合曲线之间的相对偏差。
第二张图中的相机是用特殊涂层制作的。

图4:CMV 4000传感器在x(蓝色)和y(橙色)方向的角度响应,该传感器具有特殊涂层,前面有OD8吸收滤光片,在940纳米处测量。上半部分显示相对角度响应,下半部分显示测量点和最佳拟合曲线之间的相对偏差。
这里,角度响应是各向同性的、平滑的,对于大角度,下降效应不太明显。CinCam CMOS Nano Plus-X针对传感器和外壳正面之间的极短距离进行了优化。这使得入射角度高达65°时的角度响应测量成为可能。
3 角度响应的拟合函数
拟合函数是Zernike2多项式,其中入射角的正弦用于半径。这些多项式为入射角的任意方向提供了x和y方向的简单插值。用这种方法,我们可以用少量的系数描述高达±60度的测量结果。
4 均匀性
由于生产原因,涂层并不在任何地方都具有完全相同的厚度。这导致照相机灵敏度的不均匀性增加。这个缺点通过进一步的均匀性校准来补偿。

图5:940纳米无涂层传感器(紫色)和均匀性校准后(绿色)的相对灵敏度。
5 精度
整体精度取决于以下几点:
1)拟合精度。
2)角度响应的各向同性。
3)垂直光束位置(x,y)的精度。
4)顶点到传感器的光学距离的精度(z)。
5)最大角度下的角度响应下降。
通过特殊的涂层,我们可以提高拟合精度和角响应的各向同性。此外,大角度灵敏度的相对下降要弱得多。
6 RayCi中的校正要求
为了根据角度响应校正图像数据,必须满足以下要求:
1)角度响应校准数据必须可用于每个波长。该数据由最佳拟合的Zernike多项式系数组成。
2)为了生成从每个像素到相应入射角的映射,必须知道光束垂直的x和y传感器位置。
3)需要传感器和激光焦点位置之间的光学距离。
4)CINOGY Technologies提供外壳和传感器之间的光学距离作为额外的校准数据。
5)外壳和焦点之间的距离必须由用户提供。
6)软件版本必须是RayCi 2.5.7或更高版本。
昊量光电提供的德国Cinogy公司生产的大口径光束分析仪,相机采用CMOS传感器,其中大口径的CMOS相机可达30mm,像素达到惊人的19Mpixel。是各种大光斑激光器、线形激光器光束、发散角较大的远场激光测量的必不可少的工具。此外CinCam大口径光束分析仪通用的C/F-Mount 接口设计,使外加衰减片、扩束镜、紫外转换装置、红外转换装置更为方便。超过24mm通光孔径的大口径光束分析仪CinCam CMOS-3501和CinCam CMOS-3502更是标配功能齐全的RayCi-Standard/Pro分析软件,该软件可用于光束实时监测 、测量激光光斑尺寸 、质心位置、椭圆度、相对功率测量(归一化数据)、二维/三维能量分布(光强分布) 、光束指向稳定性(质心抖动) 、功率稳定性 (绘制功率波动曲线)、发散角测量等 ,支持测量数据导出 ,测试报告PDF格式文档导出等。

主要特点:
1、芯片尺寸大,可达36mm
2、精度高,单像元尺寸可达4.6um
3、支持C/C++, C#, Labview, Java语言等多种语言二次开发
主要技术指标:

RT option:
CMOS/CCD-xxx-RT:响应波长范围:320~1150nm
UV option:
CMOS/CCD-xxx-UV:响应波长范围:150nm~1150nm
CMOS/CCD-xxx-OM:响应波长范围:240nm~1150nm
IR option:
CMOS-xxx-IR:响应波长范围:400~1150nm + 1470nm~1605nm
关于德国Cinogy公司
德国Cinogy公司是世界著名的光束质量分析仪生产厂家,Cinogy提供各种高质量,高性价比的光束质量分析仪。值得一提的是Cinogy公司为大功率二氧化碳激光器专门设计的高分辨率二氧化碳激光器光束质量分析仪(CO2 laser beam profiler),得益于其极高的分辨率(可达百万像素)及其优秀的实时显示功能,LaserDec已成为二氧化碳激光器(连续型或脉冲型)光束分析的必备工具。