时间:2022-08-04 09:04
人气:
作者:admin
罗德与施瓦茨推出了R&S NGU系列源测量单元 (SMU)。罗德与施瓦茨推出两款新型 SMU,R&S NGU201 和 R&S NGU401,通过提供能够同时产生电流和电压并进行测量的产品,进入了一个新市场。这是一类可以在良好控制的模式下同时提供电压或电流并测量被测设备上电压和电流值的对应关系的仪器。二象限 R&S NGU201 的目标是无线设备的电池测试,而四象限 R&S NGU401 可以切换到负电压并支持更宽的电压范围。
在接受《电力电子新闻》采访时,罗德与施瓦茨电源产品、仪表、信号源和音频分析仪的产品管理和规划总监 Philipp Weigell 重点介绍了新产品系列,以处理电池应用中典型的可变负载条件。新的 R&S NGU 产品具有控制反馈,可提供小于 30 μs 的恢复时间和最小的过冲。“所以我们将进入源测量单位市场,我们估计这个市场大约有十亿分之一,”魏格尔说。
源测量单位
SMU 是一种在同一引脚或连接器上结合信号生成功能和测量功能的仪器。它可以产生电压或电流并同时测量它们,有效地包含电源或波形发生器、数字万用表、电流源和电子负载的能力。
SMU 仪器在测试系统中用于测量电压和电流。它们能够快速测量作为可变电压(或电流)函数的电流(或电压),同时具有图形界面和多种计算选项以及 GPIB、以太网和 USB 等系统总线。

图 1:R&S NGU401 的接口(来源:罗德与施瓦茨)。R&S NGU201 具有一个额外的可选数字电压表,而不是调制输入。
SMU 能够表征许多半导体,特别是准确测量光伏电池或 LED 二极管的 IV 参数和特性,包括短路电流、开路电压和最大功率点。半导体表征是需要纳安或微安级电流灵敏度的应用示例。此外,对更高精度、高速、远程电压传感和四象限测量的需求可能使传统的可编程电源不足。
SMU 仪器是一种精密源元件,可提供小于 1 mV 的测量分辨率。它们在 IV 平面上具有四象限输出,这意味着它们可以提供正电压和电流(象限 1)、负电压和正电流(象限 2)、负电压和负电流(象限 3)或正电压和负电流(象限 4)。
新解决方案
现代电路在不同的操作状态下需要不同级别的电压和/或电流。例如,模拟嵌入式系统的启动顺序需要特定的电压和电流配置文件。轮廓分析对于优化电流消耗至关重要。
R&S NGU SMU 包括六个电流范围,从具有 100-pA 分辨率的 10 µA 到具有 10-µA 分辨率的 10 A。对于所有量程,均实现了低至 0.025% 的精度。电压在 20V 范围内以 10 µV 的分辨率测量,在 6-V 范围内以 1 µV 的分辨率测量。R&S NGU 具有可变电容模式,可以在 1 µF 到 470 µF 的范围内逐步调整,补偿电容,以便显示电流,就像直接在被测设备上测量一样。支持高达 20 V、8 A 和 60 W 的设备。

图 2:R&S NGU401(来源:罗德与施瓦茨)

图 3:带电池的电池组示意图示例(来源:罗德与施瓦茨)
四象限 R&S NGU401 适用于半导体测试。它提供 –20 V 至 20 V 范围内的测量。它包括快速电流调节模式,以避免损坏 LED 等敏感设备。专用输出使仪器成为模拟毛刺的交流电源。
两象限 R&S NGU201 针对一系列物联网设备的电池性能分析进行了优化。设计人员可以使用它来模拟真实世界的电池特性。该仪器的最大电流为 8 A,还支持快速充电应用。
魏格尔强调了模拟和测试可充电电池对于在便携式设备中提供更好的性能至关重要。过度充电和剧烈放电会缩短电池寿命,并可能导致过热等热问题。“许多电池是通过将许多电池并联而成的,”魏格尔说。“在这些情况下,控制充电状态至关重要;不同的值会限制电池的整体容量。因此,测试监测和控制电池状态的电池管理系统至关重要。测试必须模拟运行期间可能发生的所有条件。要定义电池模型,可以在预定义表中输入电池数据。R&S NGU 电源模拟了电池的真实输出性能。”
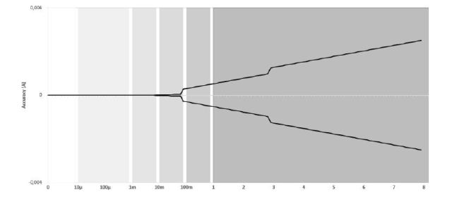
采集速率高达每秒 500 ksamples,每 2 µs 可获得一次电压和电流结果。R&S NGU 使用电流反馈放大器技术来提供高精度,如图 4 所示。

图 4:精度和动态范围(来源:罗德与施瓦茨)
电池寿命是一个制胜因素,可以为便携式设备提供较长的使用寿命。高动态范围(nA 至 A)、时间分辨率(状态切换)和模拟不同电池是典型仪器必须具备的主要特性。
“典型的电源会调节电压,所以如果你调节电压,电流会上升并可能损坏你的 LED,”Weigell 说。“所以本质上,您需要的是在电流优先模式下调节电流的电源。这也是您在 SMU 中也会发现的东西。”
近年来,对更节能、更环保的产品的需求不断增长,有助于振兴功率半导体行业。SMU 能够对许多半导体进行表征,并将在汽车和移动市场中找到一席之地,用于电池的表征,这变得越来越重要。
审核编辑:刘清
下一篇:如何用万用表测试LED