时间:2021-09-22 09:37
人气:
作者:admin
1、偏心文丘里管的结构
传统的文丘里管由入口圆管段、收缩段、喉管段和扩散段组成,一般入口圆管段长等于入口圆管管径,喉管段长等于喉管管径,其结构如图1(a)所示。传统文丘里管收缩段呈轴对称径向收缩,喉管段明显抬高,这种结构容易对灌溉输水管道中的固体粗颗粒污物形成拦截淤积,从而影响文丘里管的正常测流。偏心文丘里管的组成结构与普通文丘里管基本相似,也是由入口圆管段、收缩段、喉管段和扩散段组成,但是改变了入口收缩方式和出口的扩散方式,即其收缩段集中向圆管底部呈偏心收缩,直至与喉管段相接,扩散段向上部呈偏心扩散,喉管段长与喉管直径相等,其结构如图1(b)所示。偏心文丘里流量计消除了底坎,明显提高了杂质通过能力,避免在喉管段前发生淤堵。偏心文丘里管的结构参数主要包括喉管段缩径比(喉管直径d与入口圆管直径D之比)、收缩锥角α1及扩散锥角α2等。


2、测流原理
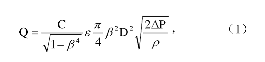
偏心文丘里流量计是以偏心文丘里管替换普通文丘里管而形成的一种测流装置,其结构形式与普通文丘里流量计有所差别,但测流原理基本相同,仍属于差压类量水设备。当水流流经偏心文丘里管收缩段时,过流面积逐渐减小,流速增加,压力下降,在喉管段压力降到最低值。经此节流作用,偏心文丘里管的入口圆管断面与喉管段断面必定存在着一定压力差,由流体的连续性方程和能量方程可推导出流量计算式:
式中:Q为管道流量(m3/s);β为喉管段缩径比;D为入口圆管内径(m);ΔP为入口圆管与喉管断面的压力差(Pa);ρ为流体密度,取ρ=1000kg/m3;ε为液体膨胀系数,对于不可压缩性流体取ε=1;C为流出系数,定义为通过文丘里管的实际流量与理论流量的比值。
流出系数C是差压式流量计节流件的重要参数之一,一般与节流装置的材质、形状、尺寸、加工精度、取压位置、雷诺数等诸多因素有关,差压式流量计在使用前必须进行流出系数的测定。对于本文研究的偏心文丘里管测流装置而言,只有当其流出系数为一常数或接近常数时,流量与压差之间的抛物线关系趋于稳定(如式(1)所示),才可以用于管道测流。
责任编辑:tzh