时间:2021-04-03 09:02
人气:
作者:admin
对电源和电池进行测试,需要使用能够吸收大电流并能消耗大量功率的电流负载。本文所介绍的这种电流负载设计简单而又准确,它只需要使用一个运算放大器和一个功率MOSFET就可以构建,如图1所示。

图1:这种电流负载非常简单,并联多个MOSFET可以实现更大的电流和功耗。
流过Q1的电流可以通过下式求得:

这个电流可以通过改变参考电压(VREF)轻松实现控制。运算放大器应具有低输入失调电压,并能采用单电源供电。
如果要使电路能够吸收大电流或消耗数十瓦的功率,则可以使用一个运算放大器来对多个并联工作的MOSFET进行控制。但是,简单地并联MOSFET会产生两个不良影响。一方面,不同的晶体管,即使它们的型号相同,其导通阈值通常也有所不同,并且它们的阈值具有负温度系数。也就是说,首先,每个晶体管的漏极电流之间可能存在很大的差异,一旦晶体管发热,其阈值就会降低,这又会进一步使电流增大而使之变得更热。
为了使晶体管电流均衡,可以对每个晶体管的源极增加一个串联的小电阻器。为了使其有效,必须使源极电阻两端的电压降与阈值相当,这就会占用1V的很大一部分。这样,均衡电阻就会消耗很大功率,其两端的压降也就会占用电路可工作的最小电压。
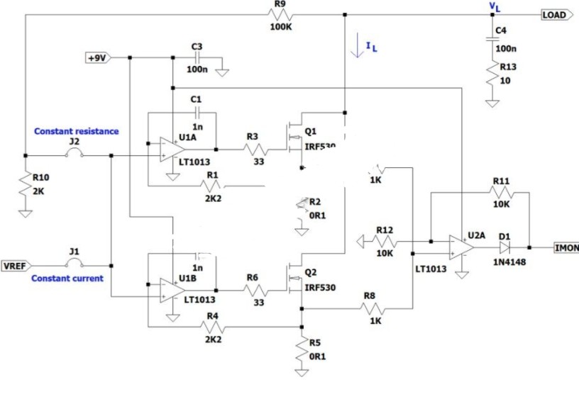
一种建立大电流、高功率负载的更好的方法是对每个MOSFET进行分别控制,这样就能避免由于阈值散布而引起的电流不平衡。图2所示的电路包含两个这样的电路块,但也可以按需添加更多。在跳线J1闭合、J2断开的情况下,电路以恒流模式工作,总负载电流由下式给出:

如果检测电阻的数值相等(R2=R5=RS),则总负载电流可以简化为:


图2:这种电流负载原理图使用了两个独立控制的MOSFET。
要测量总负载电流,就需要对每个晶体管的电流进行求和,在本例中可以通过对所有检测电阻器的压降进行求和来实现。通常,这是由一个反相加法器后接一个反相器完成的,也即使用两个运算放大器来搭建。缺点是由于加法器输出端会发生电压反转,因此这两个运放需要使用双极性电源供电。
本设计实例使用了一种更简单的方法来对电压降进行求和,那就是使用电阻R7和R8以及仅一个运算放大器。这种加法的原理如图3所示。N个电阻器中的每一个均由一个具有非常低阻抗的电压源驱动,也即本例中在检测电阻器两端施加压降时所得到的结果。

图3:这张图说明了在VOUT处所实现的电压求和。
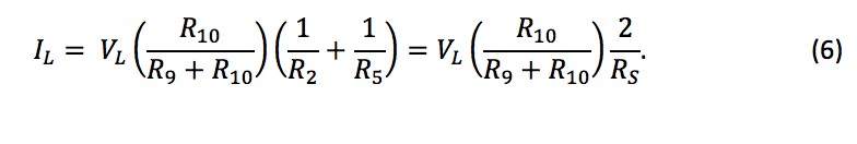
如果VOUT端子没有电流流出,则根据基尔霍夫定律可得:

因此:

在有两个检测电阻器的情况下,如图2所示,U2A的同相输入端的电压是R2和R5两端压降之和的一半。在经过2倍增益的U2A后,输出电压IMON就是两个检测电阻器电压的总和,用它就可以监视总负载电流的大小。通过并联添加更多的基本模块,就可以对电路进行扩展,然后针对模块数量使用式3和式5,就可以计算出总负载电流,以及U2A放大之前的检测电流输出。为方便起见,对于三个电源块的情况,可以使用一个四运算放大器。
最后,可以将这个电流负载设置成恒定电阻,这在测试某些电源时就非常有用。其实现方法是提供一部分负载电压VL作为参考电压。将跳线J2闭合(J1断开),U1A和U1B的同相输入端的电压就由VL和由R9和R10形成的分压器所决定,因此负载电流变为:

据此可知有效负载电阻RL为:

通过调节分压比或用电位计代替R10,就可以将负载电阻从由式7计算得到的标称值(对于图2中的值为2.55Ω)变为R10=0时的接近无穷大。
责任编辑:pj