时间:2020-11-18 10:41
人气:
作者:admin
1.1方波产生电路
555定时器构成多谐振荡电路。电路幅值与占空比可调,产生的方波为单极性,波形上升沿较陡
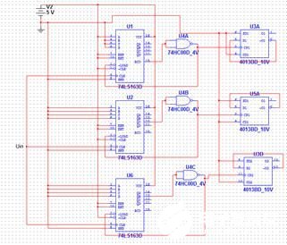
1.2分频电路
由十六进制计数器74LS163和触发器HEF4013构成分频电路。计数器进行奇数次分频,触发器进行二分频。电路占空比为50%
1.3滤波电路
由运放TL072和无源元件RC组成二阶有源带通滤波电路。该电路既可以滤除直流和高次谐波分量,又可以放大电压
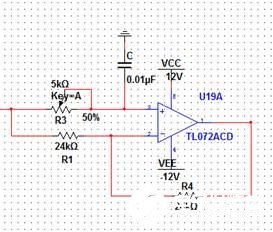
1.4移相电路
如图-1所示,RC等幅移相电路。电路可调相范围为0~90°,幅度恒定。

图-1
1.5加法电路
同相求和电路。可实现多路信号相加,但稳定性不高
1.6峰峰值检测电路
利用场效应管和电容等构成峰峰值检测电路。电路性能稳定,检测精度良好,但在高频范围内检测精度一般。
二、参数分析及计算
2.1方波产生电路频率及占空比计算
由555定时器组成的多谐振荡器如图-2所示。该电路通过对电容C的充放电得到周期性矩形波。由振荡频率公式




图-2
2.2分频电路参数计算
分频电路如图-3所示。将多谐振荡器得到的方波经过分频器进行15分频、5分频、3分频,再经过D触发器二分频,从而得到占空比为50%的10kHZ,30kHZ,50kHZ的方波,用于后级滤波使用。

图-3
2.3滤波电路参数计算
滤波电路如图-4所示,该滤波器为二阶带通滤波器。高通部分用于滤除直流分量,低通部分用于滤出10kHZ,30kHZ,50kHZ的正弦波。由截止频率公式


图-4
2.4移相电路参数计算
移相电路如图1-4-2所示,利用放大器的差动输入,在





2.6峰峰值检测电路参数计算
峰峰值检测电路如图-5所示,利用两片TL072比较跟随,电容充放电,场效应管保持峰值从而实现峰值检测功能。

图-5
三、系统测试数据
测试方案
(1) 测试各模块输出的方波,正弦波的幅值,频率与波形。
(2) 调节正弦波幅值,相位至满足傅里叶关系,测试合成波形数据。
(3) 对各输出正弦波进行峰值检测测试,计算误差。
测试仪器
数字存储示波器:鼎阳(SIGLENT)SDS1102CFL 100MHz 2GSa/s
经测试所得实验数据如表一所示。测试波形如图-6至图-12所示。滤波所得正弦波误差为0%,合成方波峰值与设计要求值相差0.6V。
表一信号合成电路测试数据
输出信号 正弦波一 正弦波二 正弦波三 两路合成方波 三路合成方波 三角波
图-6 分频后方波图-7 10kHZ正弦波
图-830kHZ正弦波图-9 50kHZ正弦波
图-10基波、三次谐波合成方波图-11 基波、三次、五次谐波合成方波
图-12合成三角波
四、参考文献