时间:2020-09-09 09:40
人气:
作者:admin
红外热像仪适用于全世界所有企业的非接触式测温项目。点温仪是工业应用中另一款广泛使用的非接触式测温工具,其工作原理与热像仪相同:通过检测红外辐射,然后将其转化为温度读数。然而,与点温仪相比,红外热像仪具有以下几大优势:
●点温仪只显示数字,红外热像仪可生成图像。
●点温仪只可读取单个点的温度,红外热像仪显示热图像中所有像素点的温度读数。
●由于配备有先进的光学镜头,红外热像仪能在更远距离处检测温度,有助于检查大面积区域。
点温仪通常又称为点温木仓或红外测温仪。因其工作原理与红外测温仪相同,所以,可认为是只有一个像素点的红外热像仪。此工具可以完成多项任务,但由于只能测量单个点的温度,操作人员会错失很多关键信息,无法注意某些即将发生故障,且亟需修理的高温关键组件。
同时使用成千上万个点温仪
类似点温仪,红外热像仪同样能提供非接触式温度读数。不同之处在于,热像仪一次能同时显示成千上万个温度读数,每个像素点对应一个温度读数。
一部红外热像仪相当于成千上万台点温仪。
FLIR E40sc红外热像仪分辨率为160 x 120像素,一次能读取19200个温度读数,FLIR T1050sc,作为工业研发/科学应用的一款高端热像仪,其分辨率为1024 x 768,一次性可获得786,432个温度读数。
既省时又能探测热量
热像仪不仅能测量成千上万个点的温度,而且能将温度读数转化为热图像。生成的热图像可全面反映待检设备的整体状况,操作人员可立即发现点温仪不易发现的细微热点。
此外,热像仪还能节省大量时间,毕竟使用点温仪测量安装有大批组件的大面积区域费时又费力,因为需要单独扫描每个部件。
热像仪可用于检查印刷线路板的散热问题,完成质检或检查汽车行业的热效应,或者在实验室进行失误分析。

为使用点温仪精确测量物体的温度,目标物体需要完全覆盖光斑点。这限制了精确测温的距离。
与点温仪相比,红外热像仪的另一优势在于:能够在更远距离处精确测量物体的温度。能够测量给定尺寸目标的距离称之为“距离系数比”(D:S)或“光斑比”(SSR)。但是这一比值来自何处,又代表何种含义?
点温仪的光斑尺寸是指设备能够精确测量物体的最小区域。这表示待测温的物体(又称“目标”)需要覆盖整个光斑点。目标发射的红外辐射通过点温仪的光学镜头,投射到探测器上。如果目标小于光斑点,探测器可能会检测到目标物体周围的辐射。此时,点温仪读取的不单是目标的温度,而是目标与其周围环境的综合温度。
根据光学镜头的属性,点温仪离测量目标越远,光斑点会越大。同理,目标越小,为了精确测量其温度,点温仪应越靠近测量目标。因此,注意光斑大小至关重要,确保测量点离目标足够近,以覆盖整个光斑,如果能再稍近一点,形成一定的安全边界,效果会更佳。
例如,如果点温仪的SSR为1:30,表示直径为1cm光斑的温度可在30cm距离处进行精确测量。直径为4cm光斑的温度可在120cm处精确测量(1.2m)。大多数点温仪的SSR介于1:5至1:50之间,换言之,大多数点温仪可于5-50cm处测量直径为1cm目标的温度。
红外热像仪与点温仪相似,其红外辐射被投射至探测器矩阵上,图像上的每个像素点对应一个温值。热像仪生产商在描述其产品空间分辨率时,通常不会明确指出SSR值,而是使用空间分辨率(IFOV)。IFOV是指热像仪探测器阵列单个像元的视场角。
理论上,IFOV直接确定了热像仪的光斑比。由目标发射的红外辐射经过光学镜头,然后投射至探测器时,所投射的红外辐射至少应完全覆盖一个探测器的像元,其对应热图像的一个像素点。因此,理论而言,覆盖热图像的一个像素点应足以确保正确的测温值。
IFOV通常以毫弧度表示(1弧度的千分之一)。弧度表示弧长与半径之比。1弧度在数学意义上表示圆弧长度等于圆的半径时形成的角度。由于圆的周长C=2πr(r为半径),1弧度等于圆周的1/(2π),或近似57.296°,即1毫弧度0.057°。
使用热像仪测量某个目标的温度时,我们假定与目标的距离等于圆的半径,同时设想目标相当平整,由于单个探测器像元的视角较小,可以假定,角度的正切值近似等于其弧度值。



在理想情况下,投射目标至少应覆盖一个像素点。为了确保精确读数,解释投射时的光色散,建议覆盖面积略大的区域。
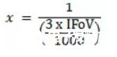
在此公式中,光斑尺寸与目标尺寸的单位以厘米(cm)表示,IFOV以毫弧度(mrad)表示。当距离为100cm,IFOV为1 mrad时,光斑尺寸为0.1 cm。如果0.1 cm的光斑尺寸可在100cm处测得,那么1 cm的光斑尺寸可在1000cm处测得,表示:距离系数比为1:1000。
如果我们将上述计算代入公式,将SSR表示为1:X的形式,用1表示光斑尺寸,X代表距离,那么,关于X的公式如下

式中IFOV以毫弧度(mrad)表示。
理想与实际光学镜头
使用上述公式可计算IFOV为1.4 mrad的热像仪,理论SSR为1:714,因此,理论上可在7m距离处测量直径为1 cm的物体。然而,如前所述,理论值并不代表真实情况,而且还未考虑现实中所使用的光学镜头并非完美。将红外辐射投射至探测器的镜头会导致色散与其它光学反常现象,无法确保目标能精确投射到单个探测器像元上。
投射的红外辐射同样也有可能来自邻近的探测器像元。换言之:目标周围的表面温度可能会影响温度读数。
如点温仪一样,目标不仅应完全覆盖光斑点,而且还应覆盖光斑点附近的安全边界,当使用红外探测器热像仪测量温度时,建议使用安全边界。安全边界由测量视场角(MFOV)获得。MFOV描述了热像仪的真实测量光斑尺寸,换言之,即:获取正确读数的最小测量区域。
MFOV通常由许多IFOV表示(单个像素点的视场角)。红外探测器热像仪的常用惯例是:考虑到光学反常现象,目标至少需覆盖3倍IFOV的区域。这表示:在一幅热图像中,目标不仅要覆盖一个像素点,而且还应覆盖其周围的像素点,在理想条件下,像素点应该足以完成测量需求。
使用本惯例时,确定光斑比的公式可考虑真实光学镜头的系数。为更接近真实值,可以使用3 倍IFOV,而不是1倍 IFOV,其公式如下:

式中IFOV以毫弧度(mrad)表示。
基于这一公式,IFOV为1.4mrad的热像仪SSR为1:238,表示可在2.4m处测量直径为1 cm的物体。由于存在安全边界,理论值可能趋于保守。真实的SSR可能会更高,但是使用这些保守的SSR值,可确保温度读数的精度。
源自物体的红外能(A)经过光学镜头(B)聚焦,投射至红外探测器(C)上。探测器将信息发送至传感器电子元件(D)上,用作图像处理。电子元件将源自探测器的数据转化可以在取景器、标准视频显示器或LCD显示屏上读取的图像(E)。
点温仪的SSR值通常介于1:5至1:50之间。大多数实惠型号的SSR值介于1:5至1:10之间,功能越先进,价格越高,SSR值最高可为1:40或甚至1:50。注意:提到光学镜头时,点温仪与红外热像仪存在相同的问题。在比较点温仪的技术规格时,必须清楚SSR值是指理论值,还是对镜头的补偿值。
在远距离处检测温度
即便是考虑到了理想与实际光学镜头的系数,在测量距离上,热像仪与点温仪也存在相当大的差异。当测量目标为1 cm时,大多数点温仪的距离为10-50 cm,很难再高于这一范围。
特写与显微镜头可拍摄详细的图像细节,便于测量微小的热点。对于点温仪而言,这是极端困难的。最上端的图像采用4倍特写镜头拍摄,底端的图像采用15μm镜头拍摄。
对于同样尺寸的目标,热像仪可在数米远的距离精确测量其目标。即便IFOV为2.72 mrad的FLIR E40红外热像仪仍能在120cm处的距离测量测量尺寸为1 cm的温度点。FLIR T1050sc作为FLIR的一款高端工业应用红外热像仪,采用标准的28°镜头,可在7m距离处测量同样尺寸大小的目标。
使用标准镜头可对这些值进行计算。许多高级热像仪均配有可更换镜头。当使用不同的镜头时,IFOV也会随之改变,反过来会影响光斑比。对于FLIR T1050sc红外热像仪,FLIR不仅提供28°标准镜头,还提供12°远焦镜头。配备专门为远距离观察设计的镜头后,其光斑比会更大。若安装12°的远焦镜头,FLIR T1050sc红外热像仪的IFOV为0.20毫弧度,利用这一镜头,同一台热像仪可在17m距离处精确测量相同大小尺寸的目标。
判断是否需要进一步靠近目标
以SSR值来看,红外热像仪的性能明显高于点温仪,但是SSR值仅指能够精确测量温度的距离。在实际检测中,热点并非需要精确的温度读数。在热图像中,即便目标只覆盖一个像素点时,热点仍旧清晰可辨。温度读数可能并非完美,但能用于检测到热点,操作人员可进一步靠近目标,确保目标在热图像中能覆盖更多的像素点,保证温度读数准确无误。
在测量微小目标时,点温仪也面临着巨大挑战。这项功能在电子元件检测中变得日趋重要。由于设备的处理速度持续加快,而且需要安装在更小体积的空间内,寻找散热和识别热点的方法是一项非常实际的问题。点温仪能有效检测和测量温度,但是其光斑尺寸太大。然而,配备有特写镜头的热像仪每像素光斑尺寸的焦距可调低至5μm,便于工程师和技术员对细微的目标进行测量。
消除猜测、眼见为实
点温仪只能显示一个读数,且读数可能并不精确,容易让人产生猜测。红外热像仪能精确显示热量,不仅能够实现温度测量,而且还能显示温度分布的瞬态图像。可见光信息与精确温度测量的完美结合有助于快速、准确发现故障点。即刻升级为FLIR Systems的红外热像仪,以更快速、更便捷的方式发现问题,以消除各种因不确定性而产生的猜测。
责任编辑:gt