时间:2020-08-17 15:14
人气:
作者:admin
为了衡量炮弹爆炸所产生的爆炸力,往往需要测量炮弹弹片的飞行速度。然而,炮弹爆炸所产生的弹片不仅数量不确定,而且各个弹片的飞行方向和速率也各不相同。因此,测量炮弹爆炸弹片的速率要比测量枪支子弹的速率复杂得多。设计一种简单合理、便于实现的测试方法来测量炮弹爆炸弹片速率正是本文研究的课题。
1 测试原理
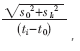
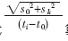
由于炮弹爆炸时存在诸多不确定性因素,所以在测量弹片速率时只能测其平均速率。具体原理如下:进行测试之前,在炮弹周围放置一圈靶标,靶标与炮弹的水平距离s0为8m。考虑到爆炸时弹片将向斜上方飞出,为保证弹片以较大的概率射中靶标,选择靶的最大高度skmax(即k取最大时的sk)不低于8m(10m左右为宜),如图1所示。如果能准确记录炮弹爆炸的时刻t0和某一弹片进入靶的时刻ti,则该弹片的平均飞行速率为
,其中k为该弹片所属的弹洞系列。一个弹洞系列是指靶距相同且属于同一被测信号通道的一些弹洞。因此,测量弹片速率的关键在于能够准确测出炮弹爆炸时刻t0和弹片入靶时刻ti。利用数据采集卡可以实现上述目的。

如图2所示,在炮弹爆炸瞬间,绕在炮弹上的触发线立刻被炸断,触发线电平立即上升为Vtrg,Vtrg为一直流正电平,作触发电平用,其值应小于Vcc。从而触发数据采集卡,启动采集,开始记录靶上信号线的输出波形,波形起点即为炮弹爆炸时刻t0。继续记录靶上信号线输出波形,根据其波形特点,即可确定各弹片的入靶时刻ti。如图3所示,弹片未入靶时,高电平Vcc未与信号线相连,采集到的数据为0电平。Vcc为一直流正电平,当弹片入靶时,金属弹片把Vcc与信号线相连,采集到的数据跳变为Vcc电平。当弹片离靶后,信号线电平又回到0电平。因此,当多个弹片先后入靶时,同一弹洞系列的理想波形便应如图4所示。其中,t1、t2、t3分别为弹片1、弹片2、弹片3的入靶时刻。t0为触发时刻,即炮弹爆炸瞬间时刻。至此,炮弹爆炸时刻和各弹片入靶时刻均已准确测得,各弹片的平均飞行速率即可由公式
算出。


2 测试系统的软、硬件设计
2.1 硬 件
硬件部分主要由数据采集卡和靶标组成,关键在于选择合适的数据采集卡和靶标材料。
选择数据采集卡主要考虑其采样率和量程。实测中,数据采集卡的一个通道对应一个弹洞系列,一个弹洞系列可能射入0至多块弹片。显然,当有多个弹片射入时,各弹片的入靶时间间隔将非常短,因此,只有采样率足够大的数据采集卡才能分辨出各弹片的入靶时间间隔。为此,这里选用PCI50612数据采集卡,其采样频率最高为50Msps。由于炮弹爆炸弹片很多,其飞行方向各不相同,故布防的测试通道也多,实际多达几十个。所以需要采用多卡并行扩展的方式扩展测试通道,但这样会导致上位PC机开销很大,因而,实测中采样率选择不是越高越好。采样率越高,PC机处理的数据量越大,PC机处理越复杂。实测中使用12.5Msps档采样率,基本达到实测分辨率要求。此外,选择大量程的采集卡更好一些,实测中Vcc电压选择10V左右较佳,所以采集卡的量程必须大于10V。
靶标材料同样很重要。由图3可以看出,弹片与靶上不同电平的二导线连接时,由于弹片的电感效应和导线间的电容效应,正好形成了LC振荡,等效电路如图5所示,导致采集的波形不再是图4所示的理想波形。为了减小波形振荡,需要选择合适的材料,同时合理布线以减小导线的分布电容。图3中的下拉电阻R也有电容效应,等效电路如图6所示。当某一弹片已离靶而下一弹片又尚未入靶时,信号线电平并不降为0电平,而是稳定在某一值上,所以,也应该减小R的电容效应。受上述效应影响,采集卡采集到的波形已完全不像图4所示的理想波形,而是如图7所示的波形。


该系统的硬件连接如图8所示。其中每个靶区的电路图如图3所示,每个靶区采集的波形与图7所示波形相似,触发信号电路区如图2所示。显然,相邻靶区之间的间距不宜太大,以免漏测。但这样又会带来负面影响,即当靶区1有弹片入靶而靶区2没有弹片入靶时,靶区1将有LC振荡。由于共振,靶区2也会有同频振荡,只是振幅小一些。这种通道之间的相互干扰往往使人误认为在靶区1有弹片入靶的同一时刻,靶区2也有弹片入靶。由于靶区1和靶区2的靶距不一样,这样势必引起速率计算不准确。可以通过软件来消除这种假象。

2.2 软件设计
软件设计的主要任务是:根据采集到的如图7所示的波形,采用一种合适的算法,确定各弹片的入靶时刻,从而计算各弹片的平均飞行速率。具体的算法流程如图9。

根据已有的试验统计规律,同一靶区内二弹片入靶时间间隔的最大值不会超过某一门限值Δt。据此可以把同一弹片的交点合并在一起,以便区分各弹片入靶时刻。如图10,Δt1小于门限值Δt,故该交点仍属于弹片1的交点,而Δt2大于门限值?驻t,则该交点已不属于弹片1,而是弹片2的第一个交点。由于存在放电现象,在弹片入靶前的某个时刻,电平就已经开始上升,故此处选择电平上升到Vcc的1/3处的时刻作为入靶时刻。
如前所述,由于LC振荡引起的通道间共振,将导致某个时刻本无弹片入靶的通道也会出现与该时刻有弹片入靶的通道相类似的波形。虽然无弹片入靶时通道的波形振幅比较小,但其振幅偶尔也会超过Vcc。为避免误以为有弹片入靶而导致的速率计算错误,可在下述算法中予以清除。如图10所示,对于每个弹片,从弹片入靶时的第一个交点起,向正时间方向平移时间tm2。从该时刻起,向正时间方向取tm2长的时间段求波形平均电平(如图10的),然后将该平均电平与该弹片入靶前的平均电平(如图10的)相比较。如果电平阶跃差大于某门限值,则认为该通道此时刻有弹片入靶;如果电平阶跃差小于此门限,则该通道此时刻无弹片入靶。这是因为,根据试验统计规律,某时间段内,受其他通道干扰而产生的通道波形,其电平阶跃差不会很大。这样就可以解决LC振荡引起通道间共振引起的误以为弹片入靶的计算错误。
3 结 论
本文采用PCI50612数据采集卡及合适的弹靶信号线组成硬件电路,并配以相应的数字信号处理技术,为某部队靶场设计了一套炮弹爆炸弹片飞行速率测试系统。实验证实,测得的平均速率为1800m/s左右,达到了良好的测试效果。该方法原理简单,硬件设计成本较低,所用算法也不复杂,可方便地用于金属爆炸飞行物速率的测试。
责任编辑:gt