时间:2020-08-19 14:11
人气:
作者:admin
阻抗失配会引起信号反射,这是高频测试系统所不希望出现的现象。对于交流信号而言,材料之间介电常数的任何变化都会导致特性阻抗的变化和阻抗失配问题。
例如,当某个正弦波沿着某条40.9-W传输线和50-W负载传输时,它的部分能量将会反射回传输线上。掌握信号反射发生的原理有助于我们改进测试系统的配置和测量效果,这对于高频测试尤其重要。
尽管由于反射导致的功率损耗是所有交流系统普遍存在的现象,但是仅当系统中传输线的长度大于其传输信号波长的1/100时,由功率损耗而导致的测量误差才值得我们关注。由于射频信号具有较短的波长,因此它们相比低频信号更容易受反射导致的功率损耗的影响。
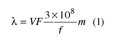
我们来对比一个1MHz的正弦波和一个1GHz的正弦波在1m长的同轴线缆上的传输特性,通过这个例子可以说明线缆长度与信号波长之间的关系。这两种信号的波长可以根据公式(1)计算出来。

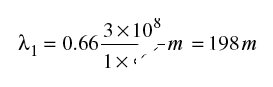
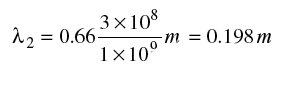
其中:λ=信号的波长;f=信号频率;VF=线缆的速度因子。假设两个系统中线缆的速度因子都是0.66,那么可得以下结果:
对于频率为1MHz的信号(信号1):

对于频率为1GHz的信号(信号2):

相比信号1的波长,线缆的长度是相对较小的(如图1所示)。因此,线缆上不同位置的任何电势差异都是可以忽略的。由于信号1无法以波的形式在线缆上传输,因此它不存在由于反射导致的功率损耗问题。但是信号2的波长是线缆长度的1/5,因此任意时刻都有5个周期的信号2在线缆上传输。这种波长较短的信号在线缆上传输时就会呈现出波的形式,在具有不同特性阻抗的结点上就会发生反射。

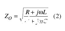
射频元件的特性阻抗并不是直流电阻。相反,对于传输线上的某个点,特性阻抗可以定义为在不存在任何反射的情况下这一点上一对电流和电压波的比。实际上,信号的频率以及传输线的单位电阻、电导、电容和电感等就决定了这一电压与电流的比值。因此,这些因素也就决定了特性阻抗的大小(Zo)。传输线(如图2所示)单位长度的特性阻抗可以表示为公式(2):

其中:L=单位长度的电感,R=单位长度的电阻,G=单位长度的电导,C=单位长度的电容,ω=2pf,j=(-1)0.5

典型的射频传输系统包括一个产生信号的信号源、传输该信号的传输线以及解析或广播该信号的负载。在如图3所示的系统例子中,Pin表示源产生信号的功率,Pout表示传输线输出端的信号功率,Preflected表示由于硬件上阻抗不匹配而产生的信号反射所导致的功率损耗。由于存在制造容差和材料缺陷,真实世界中的硬件总是具有一定程度的阻抗不匹配,Preflected的值不可能等于零。因此,在实际系统中,Pout的值总是小于Pin。

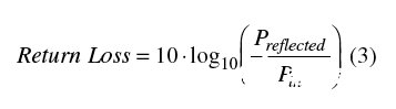
由于反射而导致的功率损耗可以用多种方法来衡量。其中一种方法是计算回波损耗(return loss),它是指反射回源端的信号功率与源发射功率的比值的对数:

回波损耗的取值范围从理想匹配系统(所有元件具有相同的特征阻抗值)的无穷大到开路和短路电路的零。VSWR(Voltage Standing-Wave Ratio,电压驻波比)是另外一种衡量射频系统阻抗匹配和反射功率大小的指标。正如其名所暗示的那样,VSWR是指入射波和反射波叠加之后形成的驻波上最大幅值与最小幅值二者的比值。VSWR的取值范围从理想匹配系统的1到开路或短路电路的无穷大。
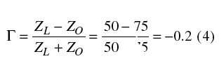
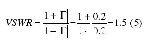
为了更好的理解VSWR,我们不妨以图4中的系统为例。假设源端发出的功率恒定不变。反射回源端的信号功率的增加将会导致到达负载端信号功率的相应减少。当在75-W的同轴电缆上传输的信号波遇到50-W的终端时,由于元件阻抗的不匹配就会导致出现反射现象。在计算这一例子的VSWR之前,我们需要首先计算出反射系数(Γ):


反射系数的计算结果表明20%的入射波将会反射回传输线和负载之间的不连续点。然后我们可以利用这个值来计算系统的VSWR:

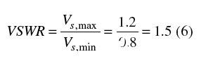
对于只有几个不连续点的简单电路可以通过这些公式计算出VSWR。但是对于更加复杂的电路,在计算VSWR时需要利用VNA(Vector Network Analyzer,矢量网络分析仪)分析信号的入射、反射和合成波,判断最大驻波幅值与最小驻波幅值的比。图5给出了在两个不同时刻,在分析仪上观察到的图4的射频系统中传输信号的入射、反射、传输和驻波的波形。在第一个时刻,信号源的输出波形是一个1Vpp的正弦波,它与反射信号同相。因此,在这个时刻,驻波(1.2Vpp)的幅值是入射波(1Vpp)和反射波(0.2Vpp)电压的矢量和。这也可能是最大的驻波幅值。在第二个时刻,入射波与反射波的相位彼此相差180度。因此,这时的驻波(0.8Vpp)幅值可能是最小的,它是入射波(1Vpp)和反射波(0.2Vpp)电压的差。

如果已知驻波的最大幅值和最小幅值,那么图4中系统的VSWR就可以按照下式计算出来了:

VSWR还可以用于计算信号的回波损耗:

总的传输线损耗通常等于导线上的功率损耗(也称为传导损耗或电阻损耗)和系统内阻抗失配引起反射导致的损耗。在如图6所示的射频系统中,50-W的源和负载通过一条1m、75-W的同轴电缆连接在一起。在这个例子中,总的功率反射是由两个阻抗不连续点导致的,第一个点位于源和传输线之间,第二个点位于传输线和负载之间。
即使假设图6中的传输线是无损的,图7中左边的图表示介入损耗也多达0.7dB,这一损耗仅仅是由系统中的阻抗不连续而造成的。该图中波峰和波谷之间的距离主要取决于所用线缆的长度。图7中右边的图假设传输线有一定的传导和电阻损耗。该图中曲线的斜率表示该线缆的传导和介电损耗,而曲线的波纹是由于回波损耗随频率的变化而造成的(在这个例子中多达0.7dB)。


反射现象不仅出现在不匹配的射频系统中,而且出现在不匹配的射频系统元件中。因此,阻抗匹配不仅仅是最终用户需要考虑的问题,而且也是射频仪器和器件(例如发生器、分析仪和开关)的制造商需要考虑的问题。例如,一个PXI射频开关是由多个不同的元件组成的,包括PCB(Printed-Circuit-Board,印制电路板)线路、内部线缆和射频继电器。其中任何元件之间的阻抗失配都会严重影响开关的VSWR和回波损耗指标。由于各个厂商在射频开关模块的设计和元器件的选择上各有不同,因此我们必须检查最终产品的VSWR和介入损耗这两项指标,以确保可能由开关引起的信号反射幅值符合要求,并且要分析介入损耗的大小,判断该射频开关模块是否能够满足特定测试系统的需要。
高性能的射频开关在选择元器件和设计方案时会尽可能地减少阻抗失配,保证尽可能小的介入损耗和反射,以减少高频下的测量误差。射频开关中实际使用的继电器的品质对整个开关的性能有很大的影响。制造射频开关模块时最常用的两种继电器是PCB装配的继电器和同轴开关。
PCB装配的继电器有多种可能的配置,其中有一种是Form C SPDT(single-pole double-throw,单刀双掷)继电器。将多个SPDT继电器安装在一个PCB上可以构成更大规模的开关,例如多选开关(SP4T以及更多的掷数)或者开关矩阵。例如,美国国家仪器公司(www.ni.com)提供的PXI-2547型50-W、2.7GHz、8 1多选开关就是由七个Form C PCB装配的SPDT继电器构成的。
多个厂商都能够生产用于构建多选开关的PCB装配式继电器,其中某些型号的性能可达几个GHz。由于在PCB的装配设计中,继电器的引线是焊接在PCB上的,因此开关模块的制造商必须采用一种阻抗受控的方式将I/O连接器与继电器连接在一起。这需要使用具有合适几何结构及适当长度的PCB布线,以及高品质的连接器和线缆。采用50-W PCB布线的75-W开关模块就是一个设计糟糕的模块实例。由于PCB布线和用于构成开关的其他元件之间存在阻抗失配,所以这种产品对于高频信号会引起严重的功率损耗。因此,制造开关的设计专家对于使用PCB装配器件方式构成的开关模块的性能有着至关重要的影响。尽管继电器的内部阻抗无法改变,但是采用适当的设计技术能够最大限度地减少由于阻抗不连续而导致的反射问题。NI公司的PXI-2547(如图8所示)采用了精心的设计方案,将介入损耗控制在3dB以下(在2.7GHz的带宽下,介入损耗通常低于1.6dB)。

使用同轴开关或“罐”式结构的模块相比基于PCB元件装配的方式具有更大的性能优势。由于整个射频传输通路都包含在外壳中,由同轴连接器提供与测试信号的接口,因此同轴开关能够实现较低的介入损耗。但是,这种结构的成本比PCB装配的继电器更高,同时占用的系统空间也更大。美国国家仪器公司的PXI-2596型26.5-GHz 双6 1多选开关就采用了同轴开关的结构,它在26.5GHz频率下的介入损耗低于0.6dB。
如前所述,开关模块的设计在PCB装配式开关模块的设计中尤为重要,这是因为:与同轴开关不同,这种模块中与继电器的接口是通过分开的线缆和PCB布线实现的。连接器通常会导致信号反射,因此在选择连接器时必须十分慎重。对于大多数PCB装配式设计,某个模块需要工作的最高频率决定了所使用的连接器类型。SMA连接器具有尺寸小、性能高的特点,常用于大多数50-W的应用。它们具有50-W的特性阻抗,不适合用于75-W的开关模块中。
在设计PCB装配式开关模块时,也必须考虑PCB布线的影响。PCB布线的阻抗必须与继电器和连接器的阻抗相匹配,它的大小取决于铜线的几何结构以及所使用的介质材料。开关模块PCB设计中最常用的传输线类型包括微带、带状线和CPW(Coplanar Waveguide,共面波导)。每种类型都有其优势和弱点。例如,带状线比微带线具有更好的隔离度。但是,由于带状线需要在信号布线层的上面和下面都设置接地面,因此它需要采用通孔(很难实现阻抗匹配)来实现较好的电气连接性能。CPW在不同的布线宽度下能够保持特性阻抗不变,但是它与接地面的间隙宽带必须做相应地变化。
上述各个因素对于射频开关系统的设计是非常重要的。选择高品质的射频产品对于实现高性能的射频测试系统是必不可少的。但是它们不能弥补糟糕的系统设计所带来的问题。如果在一个75-W的测试系统中传输信号,即使采用最好最昂贵的50-W射频开关也会导致严重的反射问题。因此,实现高性能的射频测量系统应该选用阻抗匹配的元件。
责任编辑:gt