时间:2020-08-20 09:52
人气:
作者:admin
电阻在负载状态下,由于电流作功发热而引起电阻的温升,从而使其电阻值发生变化。这种现象称为电阻的负载效应。因此电阻的温升和其负载之间的普通关系可以用一个负载的幂级数来描述。考虑到在电阻精密领域,其负载效应所产生的电阻温升一般都不大,因此在弱负载下只取一次项就足够了,这个一次项就称为电阻的负载系数,通常用η表示,即电阻的单位耗散功率所产生的电阻温升,其数学表达式为
η=(t-t0)/P (1)
式中t—电阻在零负载时的温度值;T0—P负载时的温度值。
显然,电阻在负载为P时所产生的温升为t-t0,在只考虑温度系数的一次项有
RP=R0(1+αηP) (2)
式中R0—电阻在零负载时的电阻值;
RP—P负载时的电阻值;
α—电阻温度系数一次项。
通常电阻的负载效应和多种因素有关,其中主要有电阻材料秘承受的电流密度,电阻载面形状,绕制情况,电阻的结构尺寸,骨架的结构尺寸和材料以及周围介质的种类(通常是空气或变压器油)和状态。因此电阻负载系数的测量状态应当和其工作状态一致。
一、传统的负载系数测量方法
按负载系数的定义式(1)可分为直接测量温升和间接测量温升两种方法,习惯上把直接法称为测温法,间接法称为测阻法。
在弱负载状态温升不大,因此用测温法的误差太大,故一般不用测温法。
测阻法式(2),当分别测出电阻在P负载下和零负载下的电阻值,即可按式(2)计算,即
η=(RP-R0)/αP R0 (3)
但零负载下的电阻值是无法测量的,因此实际的负载系数是在P1和P1两个负载下(相应的阻值为R1、R2)进行的,于是由(2)式可得
η=(RP-R0)/α(P1R2-P2R1) (4)
通常的测量方法基于不等臂电桥测量法,按加负载的方不同又有直流加载法和交流加载法两种。这里只仅介绍不等臂单桥说明通常的测量方法的不足。

图1 不等臂单桥
如图1所示,当改变Rx负载改变时组成电桥的其余三个桥臂的负载也随之而改变,因此测量结果是四个桥臂的负载效应的总体结果。为了突出Rx的负载效应所占的比重,则在参数的选择上就满足条件Rx》Rd,Ra》Rx。一般的取值是Rx≥(10~100)Rd,Rx ≤0.01 Ra。这样Rd和Ra的负载电阻只是Rx负载电阻的二分之一到百分之一,而Rc的电阻只是Rx电阻的百分之一到万分之一。尽管显著突出了Rx的负载效应,但其余电阻影响始终存在,这就是通常的测量方法不足之处了。
二、精密分压器
在直流精密测量中,由名义值相同、结构尺寸相同和材料相同的N个电阻所组成的分压器能准确地提供 k/n的比例,其中k值在(1~n)之间选取。这种分压器的特点是不但误差可以自校,而且其误差受环境变化的影响小,这是因为它们的电阻温度系数、负载系数基本都一致的缘故。
在本文中用到的分压器可以借用“电阻比例量具”,它是一般由10或11个名义值相同的电阻组成,每个电阻的实际值与其名义值之间的偏差小于0.01%,因此它提供的比例k/n的误差最大值小于0.02%,在引进修正值以后,能进一步把误差减小支1×(10-6~10-7)数量级,因此能满足负载系数的测量要求。
在实际负载系数测量时,P1和P2相差在20倍左右即可,因此所用分压器由3~5个电阻组成便够了。当n=3时,允许的阻值变化为9倍;当n=5时,则为25倍。从现在有的电阻比例量具中任取3~5个电阻就组成了符合测量要求的精密分压器。
三、新的负载系数测量方法
如图2所示,图中是本文提出的一种新的测量电阻负载系数的原理线路。它主要由直流恒流源、被测电阻Rx、精密分压器、直流电位差计和7位半直流数字表(DVM)组成,其中分压器1和Rx并连,其中分压器1中的电阻1大于10Rx;分压器2串连到电路中,其中分压器中的电阻1小于0.1Rx。两个分压器各自由n个电阻组成。现取n=4扼要说明其工作原理。

图2 负载系数测量原理线路
令两台分压器的比例都为n/n,使恒流源的输出电流为I1=U1/R2(设DVM测得分压器2上的电压为U1)在Rx中流过的电流为I1’,则功率P1=(I1’)2·Rx,用电位差计测量分压器的输出电压
A=I1’Rx (5)
式中A—为电位差计的读数。
再使两台分压器的分压比为k/n(1/4)。为保证最小的测量误差(替代法),把电位差计和DVM的测量端都延至k/n处,调节恒流源输出使DVM的读数不变,则有
I2=(n/k)I1=4 I1
于是I2’=(n/k)I1’=4I1’ (6)
也就是说Rx和分压器2上的电压都增加了n/k(=4)倍,因此这时Rx上的功率为
P2=(n/k)2P1=16 P1
电位差计的测量结果是
(n/k)I2’R2=I2’ R2/4
由式(6),得到
I2’R2=A+α (7)
式中 α—由电阻Rx负载效应引起的电位差计读数增量。
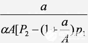
由式(2)、(5)、(7)经简化可得

(8)
取不同的 k值即k=1,2,3,。..,n-1,则可按式(8)得到一组η值,取其平均值做为测量结果时可进一步提高η的测量准确度。
四、误差分析
本测量方法的主要误差源分析如下。
1 电流测量误差
在测量原理中,利用了式(6),担实际上由于电流的测量误差,此条件不能满足,即实际情况是
I2=n/k(1+Δ)I1
式中 Δ—测量电流的误差。
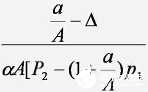
于是式(8)为

由于在改变电流时电压表的读数不变,因此Δ的主要来源是分压器2各元件的负载系数的负载系数差异,但只要在工作条件下自校并对分压比俾修正,把它减小到10-6以下是容易办得到的,若改用直流电流比较仪提供测量用电流,则误差还可减少。
2 分压器1的误差
分压器比的误差有两个因素,第一是电阻元件自身对名义值的偏离;第二是分压器的负载效应,这是由于分压器电阻都是相同的规格,因此负载效应很小;第三是可以在工作电压下测量其分压比,从而进一步消除它的负载效应。因此把分压比的误差减小到10-6。
3 电位差计的误差
由式(5)和(7)可知,这里采用了相当于替代法的测量原理。按替代法的误差分析,测量装置的误差能减小到a/A倍,若a/A约为0.1%,选用0.01级的电位差计,则电位差计引入的误差为10-7。
4 其他误差
其中热电势误差、工作电流不稳定误差、环境误差和温度系数误差不大于10-7。
由此可见,本方法测量η 的主要误差来源是测量电流的误差,当满足分压器2的误差比a/A约小二个数量级的条件下,η的误差为1%。
五、结束语
利用精密分压器和电位差计的组合,可以在足够宽的范围内改变电阻的负载功率且能准确地测提电阻的负载效应,从而消除了现有测量电阻负载系数方法中所固有的其他相关电阻负载系数对测量结果的影响。此法可用于10-1~105Ω的电阻负载系数测量。
也可用电位差计代替数字电压表测量电流,此时操作要麻烦一些。如果用直流比较仪提供测量电流,则还可以减小电流测量误差,从而进一步提高负载系数的测量准确度。
责任编辑:gt
上一篇:智能电表工作原理及特点讲解