时间:2020-08-24 16:36
人气:
作者:admin
电容式传感器是将被测量的变化转换成电容量变化的一种装置。电容式传感器具有结构简单、分辨力高、工作可靠、动态响应快、可非接触测量,及能在高温、辐射和强烈振动等恶劣条件下工作等优点,并且已在工农业生产的各个领域得到广泛应用。
微小电容测量电路必须满足动态范围大、测量灵敏度高、低噪声、抗杂散性等要求。电容式传感器输出的电容信号往往很小(1fF~10 pF),又存在传感器及其连接导线杂散电容和寄生电容的影响,这对电容信号的测量电路提出了非常高的要求,如此微小的电容信号的测量成为电容式传感器技术发展的瓶颈。
本文提出一种恒流源充电法对两个微小电容进行充电检测的方法。本设计仅由单片机和少数芯片即可以实现电容的高精度,高频率测量。由于采用了差动式测量,本设计可以有效地减小非线性误差,提高传感器灵敏度,减少干扰,减少寄生电容的影响。若选用高性能模拟开关能大大减小电荷注入效应的影响。在检测0~5 pF的实验中,采样频率可以达到100 kHz,有效精度位最高可达12位。
1 原理分析
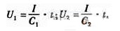
实现测量的电路原理如图1所示,其完整的测量过程是:单片机控制模拟开关K1,K2断路,标准电容Cl和待测电容C2由相同的两个恒流源I1和I2进行充电;在相同的时间T1内,电容C1、C2的充电电压为U1、U2。由电容基本公式
可得:


图1 实现测量的电路原理图
令△U=U1-U2,则电压差△U经过放大后,通过MSP430单片机的AD转换模块进行转换,数据存储的同时,单片机控制K1、K2闭合,在T2时间内,使C1,C2两端的短路,两电容两端电压降到零,此时完成放电过程。
至此,一次完整的采样过程结束,充放电时序见图2。

图2 充放电时序图
在整个过程中,单片机要产生一个频率为100 kHz,占空比为90%的PWM波,用以控制K1、K2的通断,还要以(T1+T2)的周期完成AD变换和数据存储。其中,T1的最大值小于充电时间,T2的最小值大于放电时间。
2 硬件设计
2.1 恒流源的设计
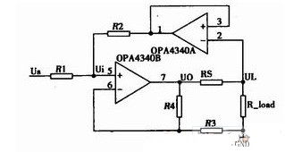
恒流源是整个测量系统模拟部分的重要组成部分,其稳定性直接决定了系统测量的精度。本设计中的两个恒流源要求输出电流相等,具体设计如图3。

图3 恒流源原理图
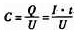
由虚短虚断可得:

故得:

设:

经过运算可以得到:

因Vi是采用单片机AD转换的标准电压1.5 V,UL≤1.5 V,故n值、RL与Rs的比值,直接影响恒流源电流的输出,只要保证UL小于1.5 V时,该电路输出电流为恒定值,与负载电阻RL没有关系。
2.2 放大电路的设计
放大电路采用以仪表放大器INA128为核心的仪表放大器。该放大器在放大100倍时带宽可达200 kHz,完全满足了设计的要求。
C1和C2两个电容由相应的恒流源在相同的时间内进行充电,两电容充电电压差由INA128进行放大,并送入单片机进行采样存储。图4为充放电标准信号与INA128放大后的结果。

图4 标题信号与输出放大
3 软件设计
为实现低功耗,系统接入电源后进入低功耗状态,需要外部电平信号才能唤醒。为了避免系统的误开始测量,当需要测量电容信号时,将触发信号置高,如果20 s内触发信号一直置高,则系统进入循环采集存储状态。为得到包括触发前和触发后的完整电容信号曲线,一旦电容信号达到预设的触发值,系统便进入触发态,将电容信号存储到闪存,闪存存满后,将RAM中的FIFO数据导入闪存预留地址。之后,系统进入待读数态,此时插上USB接口,接收到计算机的读数命令之后即可将数据发送至计算机,并且在第一次读取数据之后和掉电以后再上电可重复无数次读取并显示测量结果。系统的状态设计如图5。

图5 系统的状态设计
为实现低功耗的系统,电路不工作时,即接通电源态和待读数态,系统处于值更状态、超低功耗态LPM4;工作时都处于全功耗态。
4 测量结果
传感器的标定就是通过实验确定传感器的输入量和输出量之间的关系,用以确定传感器系统的线性度、灵敏度和重复性等静态性能指标。
表1为测量0~5pF电容的数据。由最小二乘法相关计算公式可得,拟合直线为y=0.993x+0.049,重复性误差为1.77%,非线性误差为0.84%,基本误差为2.61%。

5 结论
本设计的核心硬件由芯片和单片机实现,省去了昂贵的电容测量芯片,由低功耗,低成本的数字芯片组成,有效降低了测量系统的成本。整个系统电路板面积小于2.7 cm2,工作电流小于8 mA,低功耗电流为0.02 uA,由于待测电容和标准电容均有接地端,所以具有较强的抗干扰能力,并体现了低功耗、体积小等优点。本测量方案可以非常灵活,实现模块化,所设计的同一块PCB可以移植到许多电容式传感器的设计中去。
责任编辑:gt