时间:2020-08-11 12:41
人气:
作者:admin
1 引 言
随着空间探测技术的发展,空间的等离子体成分探测显得越来越重要,尤其对现在正在进行的深空探测,如探月计划。而空间等离子成分探测最主要的方法就是飞行时间法,既通过测量粒子飞过一定距离所需要的时间来鉴别粒子成分。
目前,国外在等离子体成分探测方面技术已经很成熟,如1984年AMPTE/IRM上的超热离子电荷分析器;1996年FAST上的飞行时间法能量角质谱仪(TEAMS),Cluster Ⅱ上的离子成分和分布函数分析器(CODIF)。然而在国内,该技术还刚刚处于起步阶段,存在很多难点,其中最关键的就是:快电子学技术,也就是说如何用电子学的方法测量出起始脉冲和停止脉冲之间的时间间隔,既粒子的飞行时间,约为纳秒量级,将是整个等离子成分探测器的关键。也是目前国内离子成分探测中所面临的难题,为了能够探索出一种测量这种纳秒量级时间间隔的方法,首先必须模拟出来这种纳秒量级的时间信号,从而找出一种测量该时间间隔的最好方法。本文将主要研究基于飞行时间法的纳秒量级时间间隔测量技术。
2 设计原理及系统组成
纳秒量级时间间隔测量系统由CPU模块、时间间隔测量模块、数据传输模块三部分组成,其逻辑框图如图1所示。

其中CPU模块主要功能是模拟纳秒量级脉冲信号、接收时间间隔测量模块的数据、FIFO缓存、发送数据到数据传输模块、控制数据传输模块的时序,是整个测量系统的前提和控制中心。时间间隔测量模块主要用来测量纳秒量级的时间间隔,同时把时间信号转换为数字信号。数据传输模块接收数据,并进行数据处理,同时将数据传输到PC机。PC机用来存储数据,同时发送指令到数据传输模块。
2.1 CPU模块
该模块主要是由FPGA芯片、电源转换电路、时钟模块及配置电路组成。其中最主要的部分为FPGA芯片,它是整个CPU模块的核心。
CPU模块的主要功能:
(1)模拟纳秒量级脉冲信号。利用现有的技术方法模拟出来,时间间隔为纳秒量级的脉冲信号,为验证后续测量系统做准备。
(2)接收时间间隔测量模块的数据,将时间间隔测量模块数据存储到内部FIFO。
(3)FIFO缓存、发送数据到数据传输模块。利用FPGA内部的逻辑门,通过编程实现2个4 kB的FIFO,用于缓存数据,同时将数据发送到数据传输模块。
(4)控制测量模块和数据传输模块的时序。作为整个测量系统的控制中心,为后续的测量模块和数据传输模块提供时序控制和读、写方式等。
其中模拟纳秒量级脉冲信号是整个CPU模块的关键,在本系统中,通过选用了Xilinx公司Virtex-2系列FPGA,利用其内部的DCM(数字时钟管理器,Digital Clock Manager)模块将时钟信号倍频到300 MHz左右,通过计数的方法来产生起始脉冲和停止脉冲,从而产生纳秒量级的时间间隔信号。
2.2 时间间隔测量模块
时间间隔测量系统是整个电子学系统的关键。它的性能的好坏直接决定着时间间隔测量系统的精度。本测量方案选用了德国ACAM公司的高精度时间间隔测量芯片TDC-GP1。
该芯片采用44引脚TQFP封装,具有TDC测量单元、16位算术逻辑单元、RLC测量单元及与8位处理器的接口单元4个主要功能模块。其性能指标如下:
①双通道,250 ps的分辨率或者单通道125 ps的分辨率。
②每个通道可进行四次采样,排序则可达8次采样。
③两个通道的分辨率完全相同,双脉冲分辨率大约为15 ns。
④有两个测量范围:3 ns~7.6μs;60 ns~200 ms(有前置配器,只使用于单通道)。
⑤双通道的8个事件可以一个一个的任意测量,没有最小时间间隔限制。
⑥分辨率调整模式:通过软件对分辨率进行石英准确性调整。
⑦有四个端口用来测量电阻、电容和电感。测量输入的边缘灵敏性是可调的。
⑧有效的内置16位运算器,测量结果可以被校准或者乘以一个24位的整数。
⑨运算器用于计算的时间是独立于外部时钟的,整个校准和乘法的时间大约为4μs。
⑩内部最多可存储4个校准值或者8个非校准测量值。
⑾校准和控制时钟频率为500 kHz~35 MHz(高于100 MHZ将用到内部的前置配器)。
⑿工业温度范围为-40~+85℃;工作电压:2.7~5.5 V;低功耗,可用电池驱动。
TDC-GPI提供了三种测量方式供用户选择,其具体参数和时序逻辑如下所示:
(1)测量范围一
GP1据供了两个测量通道;每个通道的分辨率是250 ps,它基本的测量范围是15位。两个通道具有完全相同的分辨率,共用一个START信号和至多四个独立的STOP输入信号进行比较,最小时限为15 ns。START和STOP信号必须持续2.5 ns以上,否则芯片无法辨识。STOP信号之间可进行相互的比较,无最小时限。量程为3 ns~7.6μs,两个通道可进行排序,这样可使1通道允许8个脉冲输入,但通道2的STOP输入被忽略。测量时序如图2所示。

(2)测量范围二
为进行大量程时间测量,芯片引入了一个16位的前置配器。该模式下芯片只有通道1可用,正常精度模式下允许4个脉冲输入。STOP信号之间不能相互比较,仅STOP与STSR信号可进行比较。最大量程60 ns~200 ms。测量时序如图3所示。

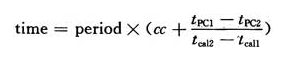
其测量原理如下:输入START信号芯片内部迅速测量出这个信号与下一个校准时钟上升沿的时差tPC1,之后计数器开始工作,得到此前置配器的工作周期数period。这时重新激活芯片内部测量单元,测量出输入的STOP信号的第一个脉冲上升沿与下一个校准时钟上升沿的时差tpc2,tpc3是STOP信号的第二个脉冲上升沿与校准时钟上升沿的时差。tcal1十一个校准时钟周期,tcal2是两个校准时钟周期。根据图6可以得出START信号与STOP信号第一个脉冲的时间间隔为:

cc表示前置配器的计数值。
(3)精度可调整模式
在此模式下两通道数值有非常精确的校准环路,精度可以通过程序中的设置来调整,精度可调整模式不需要START信号。因此最多只能通过通道1和通道2共引入8个STOP输人,此时任意两个STOP信号均可以进行比较,量程为3 ns~3.8μs,但芯片耗电量比较大,大约为25 mA。其测量时序如图4所示。

上述三种测量方式,各自都有自己的特点,适用于不同的条件,测量的分辨率也有很大不同。在具体应用中,可以根据所测等离子体的能量范围和通道个数以及所要求的分辨率,来具体的选择适用哪种模式。
在该测量系统中,需要两个通道同时测量,而且需要大量程测量,所以选择测量范围一,具体的寄存器配置如下:Reg0:0x48;Reg1:0x4B;Reg2:0x01;Reg3:0xXX;Reg4:0x40;Reg5:0xXX;Reg6:0x02;Reg7:0x01;Reg8:0x00;Reg9:0x00;Reg10:0x80。
2.3 数据传输模块
该模块主要包括USB2.0控制器(Cy7c68013-128)、PC机,以及驱动和固件程序等。在整个测量系统中,为了更好的与PC机进行通信,并获得很快的数据传输的速度,最终选用USB接口(Universal SerialBus),它是一种新的接口标准,有很多优点如即插即用、支持热插拔、传输速度快、可通过扩展连接多达127个USB设备等。
本设计选用的是Cypress公司的EZ-USBFX2系列芯片中的CY7C68013,这是一种带USB接口的单片机芯片,虽然采用低价的8051单片机,但仍然能获得很高的速度。它包括一个8051处理器、一个串行接口引擎(SIE)、一个USB收发器、一个8.5 kB片上RAM、一个4 kB FIFO存储器及一个通用可编程接口(GPIF)。
通过系统软件的设计就能实现数据的传输,包括固件、应用程序和驱动程序的设计。
3 实验结果
通过实验证明,该测量系统能测量出时间间隔范围为3.5 ns~7.2μs,分辨率能达到500 ps。测量误差在2%左右,其中时间间隔越短,误差越大。部分实验结果如表1所示。

4 主要问题
由于整个电路系统产生和测量的是纳秒量级的脉冲信号,对于如此高频率的信号,很容易受外部信号的干扰,因此在电路板的制作过程中,如何来屏蔽外部干扰信号,提高抗干扰能力,目前是一个急需解决的问题,这对整个测量系统的准确性有着非常重要的意义。另一个问题就是整个测量系统的核心器件TDC-GP1的温度范围只有-40~+85℃,是否能够经受得起恶劣的空间环境考验,只有通过老化实验和环境模拟试验验证,才能进一步应用到空间探测中。
5 结语
通过实验证明,该测量系统测量范围为3.5 ns~7.2μs,测量误差在允许范围之内,其主要性能指标能满足测量要求,具有一定的实用价值。由于电路中有纳秒量级的高频信号,因此在后续的电路设计中,将进一步提高抗干扰能力。以满足我国深空探测中等离子成分探测的需要。
责任编辑:gt