时间:2020-08-11 13:58
人气:
作者:admin
引 言
电弧炉等各种非线性设备会产生谐波。在电力系统中,高次谐波产生了多余的谐波损耗,使各种电力设备的效率降低,其带来的波形畸变严重影响了电能质量,并且在某些信号传输的过程中产生了干扰。对谐波信号进行实时在线的有效检测,有助于谐波消除的实现,其为进行电弧炉的各种控制以及有源滤波器的设计提供有效的支持。
现有的频谱分析装置对于电力系统的谐波频谱虽然可以达到所需的要求,但是成本过高且不宜携带,尤其是具体的电弧炉系统会产生的大多为几十次的谐波.更大次数的谐波由于幅度极小,可以被看成是系统中的噪声,没有必要在全频段进行谐波检测。此外,现有的电力系统谐波检测装置由于使用场合的不同,多以DSF芯片作为核心,而使用编程简单、成本更低的单片机芯片作为核心的很少。由于以上这两点,基于单片机芯片并且针对电弧炉系统的谐波检测装置的研究非常有必要。
电弧炉系统产生的谐波,不仅包括整数次谐波,还包括分数谐波和间谐波。一般来说,分数谐波(Frac-tion Harmonics)被定义为频率不等于基波频率整数倍的谐波分量,分为间谐波(Interharmonics)和次谐波(Subharmonics)。间谐波是指频率介于工频谐波之间的谐波分量;次谐波是指频率低于基波频率的谐波分量。电弧炉是电力系统中产生分数谐波的主要来源之一。在电网质量上,国际标准对分数谐波并没有明确的规定,但在电磁兼容标准IEC61000—3.6中,建议分数次谐波的电压应该限制在O.2%以下。另外,由于电弧的不规则游动以及电弧电阻的随机性,使得电弧炉系统的谐波分量也随时间随机变化。
在谐波检测的过程中,一般以谐波电流为目标进行检测。目前谐波电流检测的方法主要来源于基于模拟滤波器理论、瞬时无功功率理论、傅里叶变换、自适应控制理论、神经网络理论以及小波变换理论6种。其中,基于傅里叶变换的谐波检测方法,基于无功功率理论的谐波检测方法和基于神经网络的谐波检测方法都可以满足电弧炉对谐波检测的相关要求,例如实时性好,能满足精度等。
由于使用无功功率理论的谐波检测理论能够直接得到谐波信号的瞬时分量,更适合于直接补偿谐波分量以改善电网电力质量。相比之下,构造检测并显示谐波参数的环节更多采用基于快速傅里叶变换理论的方法,这里提出一种采用基于傅里叶变换的谐波检测方法进行检测仪的设计。该仪器以MSP430系列单片机为主要核心进行相关软硬件部分的设计,主要功能包括计算并显示电弧炉三相谐波电流的基波与各次谐波、功率因数、有效值以及有功无功功率等各项参数。
1 主要原理
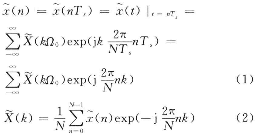
要在电路中获得可以通过单片机计算的电流信号,必然先经过采样,变换为离散的数字信号。设有周期函数:
![]()
其中:Ω为频率;X为幅度;周期为T。以x(nT,)作为周期信号x(t)的抽样,每个周期内抽样N点,即T=NT,经傅里叶变换后形成变换对,简化后可表示为:

其中:,n∈(-∞,+∞),k∈(∷∞,+∞);X(k)的物理意义是序列x(n)第k次谐波分量的幅度。
在使用计算机或者单片机做信号处理方面的工作时,要求信号在频域和时域都是离散的,且都是有限长。离散傅里叶级数满足离散要求,但是在时域、频域虽然都是周期函数其也都是无限长的,所以在时域、频域中各取1个周期,可以得到傅里叶变换对:

再根据快速傅里叶变换(FFT)理论,利用WN形成“蝶形单元”,经过分组、码位倒序等步骤计算,这样即可方便地通过计算机或单片机进行变换求其频谱。在此指出的检测谐波电流的仪器主要系统就是通过FFT方法计算出相应的谐波分量及其参数。
1.1 分数谐波的测量
可以看出,利用式(4)进行FFT可以准确地分离出被测电流中整数次谐波信号。正如在前文中所指出的,电弧炉系统中不仅包括整数次谐波,还包括大量分数谐波和间谐波。例如,对于频率为50 Hz的电网电流信号,其周期为20 ms,电弧炉作为负载可能还会产生出频率在50 Hz以下或者不为50 Hz整数倍的谐波。如果在检测时采样的时间正好为一个周期20 ms,则频率低于50 Hz的谐波信号就无法检测出来,在这里,可以通过延长采样时间的方法分理出分数次谐波。具体方法:对于基波频率为Ω,周期为T的电网电流信号来说,如果现在需要检测的是频率为Ω0/l的谐波分量(l为不为零的整数),则采样时间必须为T1=lT。这样采样出来的序列可以看成是频率为Ω1=Ω/l的电流信号的1个周期;如果系统抽样频率不变,仍然是每T时间内抽样N个点,即T=NTs,则T1=lT=lNTS,可得:

这样,在进行相关的FFT变换过程,通过定义新的蝶形因子WlN,得出的X(k)具有新的物理意义,即k/l次谐波分量的幅度。也就是说,通过设定不同的l值,改变FFT程序中的蝶形因子,可以分离出1/l次谐波分量。
1.2 谐波参数的计算
在检测过程中,由于电弧炉系统谐波具有利用随时间随机变化的特点,所以相比于连续测量每个时刻的谐波分量,测量一段短时间内谐波信号的平均有效值,既能体现出谐波分量短时间内的具体情况,也能体现出谐波在一段时间内的变化趋势。因此需要在某个时间内利用采样取得的离散信号来计算有效值、功率以及功率因子等谐波参量。
设在1个采样周期内采样N次,采样得到的电压为Vi,电流为ii,其中i=1,2,…,N,则电压的有效值为:

其中:Unk为k次谐波的电压幅值;Ink为k次谐波的电流幅值;αk一βk为忌次谐波的电压和电流的相位差。各次谐波分量的计算应用FFT进行谐波分析,也就是对采样信号经过FFT变换得到的信号频谱用来计算各次谐波分量。时域中的采样序列x(n)经FFT变换后成为频域中的复序列:

其中:Xr(k)为实部;Xi(k)为虚部。
由于x(n)为实数列,因此对应的复数序列是共扼对称的。N点采样值经FFT变换后只能得到N/2个相互独立的结果。例如,当采样点数为128时,经FFT后,最高只能计算出64次谐波分量。根据上式就可求出k次谐波电压、电流的幅值。单相k次谐波电压含有率:

单相谐波电流含量:

电流谐波总的畸变率为:
![]()
其中:I1为基波电流有效值;j为总电流有效值;r=I1/I为基波电流和总I电流的有效值之比,称为基波因数。通过以上公式的计算,得出相关电参数的值。
2 硬件电路设计
整个检测仪表的硬件电路包括信号采集处理环节、单片机数据处理以及显示和通信等3部分组成,如图1所示。

2.1 信号采集处理环节
信号采集处理环节包括电流信号的采集、放大和滤波3个部分,如图2所示,其所要完成的目标是把被测电流信号变换为满足单片机电路要求的电压信号。

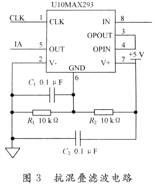
其中,电流采集部分使用HCT210A电流互感器,将被测电压信号转换为对应的电压信号。放大电路先对该信号进行分压,然后将3路信号通过由LM324芯片所组成的放大电路,此时的电压信号中高频分量容易超过A/D转换芯片的工作频率,造成频谱混叠和高频干扰,因此在此时必须加上一个滤波环节以消除高频影响。为了可以方便地改变截至频率,在该环节中选用开关电容滤波器MAX293来设计滤波电路,如图3所示。

2.2 单片机数据处理
软件设计主要采用C语言编程。在程序编程中,由于MSP430无法直接进行复数运算,必须把复数分解成实部与虚部的和,然后分别进行计算,因此需要先将正弦表在程序中计算形成,以便程序在采样之后读取进行运算。另外在程序运行后,需通过外设输入相应谐波次数。系统总体软件结构流程图如图4所示。

4 结 语
这里所提出的谐波检测系统,利用MSP430系列单片机组成的相关采集与运算电路。对电弧炉负载的电网电流谐波进行实时的检测并显示,有助于对电弧炉系统进行分析与控制和开展电力系统谐波抑制的研究。相比于DsP芯片,MsP430系列单片机更具有低功耗,低成本等优点,适用于便携设备的设计。
单片机数据处理环节的硬件部分包括A/D转换和数据处理两个部分。对于这里所使用的MSP43014X系列的单片机,虽然其内部集成了12位A/D转换器,但是由于需要多个通道同时转换三相电压、电流信号,因此要另外选取单独的A/D转换芯片,在这里选择MAXl25芯片,该芯片是一个具有2×4通道同时采样、14位数据采集系统。在A/D转换过程中,首先采集A相电压、电流,B相电压、电流这4路信号;转换结束后,单片机读取4路采样值然后再选择C相电压、电流进行采样。其核心部分单片机采用德州仪器公司(TI)的MSP430系列超低功耗微控制器。该芯片具有1个16位CPU、16位的寄存器以及常数发生器,能够最大限度地提高代码效率。为了使整个检测装置能够快速实时达到检测性能,单片机外接2块通过译码器扩展的64 KB的数据存储器和1块32 KB的EPROM片外程序存储器。为了使该检测仪能够同时检测三相电路的谐波信号,在硬件部分A/D转换部分要设置1个三选一的开关,利用软件系统控制每次采集并转换的某一相位。外设与显示设备的设计这里不再详述。
3 系统软件总体介绍
电弧炉 谐波检测
分享到:
来源:互联网
引 言
电弧炉等各种非线性设备会产生谐波。在电力系统中,高次谐波产生了多余的谐波损耗,使各种电力设备的效率降低,其带来的波形畸变严重影响了电能质量,并且在某些信号传输的过程中产生了干扰。对谐波信号进行实时在线的有效检测,有助于谐波消除的实现,其为进行电弧炉的各种控制以及有源滤波器的设计提供有效的支持。
现有的频谱分析装置对于电力系统的谐波频谱虽然可以达到所需的要求,但是成本过高且不宜携带,尤其是具体的电弧炉系统会产生的大多为几十次的谐波.更大次数的谐波由于幅度极小,可以被看成是系统中的噪声,没有必要在全频段进行谐波检测。此外,现有的电力系统谐波检测装置由于使用场合的不同,多以DSF芯片作为核心,而使用编程简单、成本更低的单片机芯片作为核心的很少。由于以上这两点,基于单片机芯片并且针对电弧炉系统的谐波检测装置的研究非常有必要。
电弧炉系统产生的谐波,不仅包括整数次谐波,还包括分数谐波和间谐波。一般来说,分数谐波(Frac-tion Harmonics)被定义为频率不等于基波频率整数倍的谐波分量,分为间谐波(Interharmonics)和次谐波(Subharmonics)。间谐波是指频率介于工频谐波之间的谐波分量;次谐波是指频率低于基波频率的谐波分量。电弧炉是电力系统中产生分数谐波的主要来源之一。在电网质量上,国际标准对分数谐波并没有明确的规定,但在电磁兼容标准IEC61000—3.6中,建议分数次谐波的电压应该限制在O.2%以下。另外,由于电弧的不规则游动以及电弧电阻的随机性,使得电弧炉系统的谐波分量也随时间随机变化。
在谐波检测的过程中,一般以谐波电流为目标进行检测。目前谐波电流检测的方法主要来源于基于模拟滤波器理论、瞬时无功功率理论、傅里叶变换、自适应控制理论、神经网络理论以及小波变换理论6种。其中,基于傅里叶变换的谐波检测方法,基于无功功率理论的谐波检测方法和基于神经网络的谐波检测方法都可以满足电弧炉对谐波检测的相关要求,例如实时性好,能满足精度等。
由于使用无功功率理论的谐波检测理论能够直接得到谐波信号的瞬时分量,更适合于直接补偿谐波分量以改善电网电力质量。相比之下,构造检测并显示谐波参数的环节更多采用基于快速傅里叶变换理论的方法,这里提出一种采用基于傅里叶变换的谐波检测方法进行检测仪的设计。该仪器以MSP430系列单片机为主要核心进行相关软硬件部分的设计,主要功能包括计算并显示电弧炉三相谐波电流的基波与各次谐波、功率因数、有效值以及有功无功功率等各项参数。
1 主要原理
要在电路中获得可以通过单片机计算的电流信号,必然先经过采样,变换为离散的数字信号。设有周期函数:
![]()
其中:Ω为频率;X为幅度;周期为T。以x(nT,)作为周期信号x(t)的抽样,每个周期内抽样N点,即T=NT,经傅里叶变换后形成变换对,简化后可表示为:

其中:,n∈(-∞,+∞),k∈(∷∞,+∞);X(k)的物理意义是序列x(n)第k次谐波分量的幅度。
在使用计算机或者单片机做信号处理方面的工作时,要求信号在频域和时域都是离散的,且都是有限长。离散傅里叶级数满足离散要求,但是在时域、频域虽然都是周期函数其也都是无限长的,所以在时域、频域中各取1个周期,可以得到傅里叶变换对:

再根据快速傅里叶变换(FFT)理论,利用WN形成“蝶形单元”,经过分组、码位倒序等步骤计算,这样即可方便地通过计算机或单片机进行变换求其频谱。在此指出的检测谐波电流的仪器主要系统就是通过FFT方法计算出相应的谐波分量及其参数。
1.1 分数谐波的测量
可以看出,利用式(4)进行FFT可以准确地分离出被测电流中整数次谐波信号。正如在前文中所指出的,电弧炉系统中不仅包括整数次谐波,还包括大量分数谐波和间谐波。例如,对于频率为50 Hz的电网电流信号,其周期为20 ms,电弧炉作为负载可能还会产生出频率在50 Hz以下或者不为50 Hz整数倍的谐波。如果在检测时采样的时间正好为一个周期20 ms,则频率低于50 Hz的谐波信号就无法检测出来,在这里,可以通过延长采样时间的方法分理出分数次谐波。具体方法:对于基波频率为Ω,周期为T的电网电流信号来说,如果现在需要检测的是频率为Ω0/l的谐波分量(l为不为零的整数),则采样时间必须为T1=lT。这样采样出来的序列可以看成是频率为Ω1=Ω/l的电流信号的1个周期;如果系统抽样频率不变,仍然是每T时间内抽样N个点,即T=NTs,则T1=lT=lNTS,可得:

这样,在进行相关的FFT变换过程,通过定义新的蝶形因子WlN,得出的X(k)具有新的物理意义,即k/l次谐波分量的幅度。也就是说,通过设定不同的l值,改变FFT程序中的蝶形因子,可以分离出1/l次谐波分量。
1.2 谐波参数的计算
在检测过程中,由于电弧炉系统谐波具有利用随时间随机变化的特点,所以相比于连续测量每个时刻的谐波分量,测量一段短时间内谐波信号的平均有效值,既能体现出谐波分量短时间内的具体情况,也能体现出谐波在一段时间内的变化趋势。因此需要在某个时间内利用采样取得的离散信号来计算有效值、功率以及功率因子等谐波参量。
设在1个采样周期内采样N次,采样得到的电压为Vi,电流为ii,其中i=1,2,…,N,则电压的有效值为:

其中:Unk为k次谐波的电压幅值;Ink为k次谐波的电流幅值;αk一βk为忌次谐波的电压和电流的相位差。各次谐波分量的计算应用FFT进行谐波分析,也就是对采样信号经过FFT变换得到的信号频谱用来计算各次谐波分量。时域中的采样序列x(n)经FFT变换后成为频域中的复序列:

其中:Xr(k)为实部;Xi(k)为虚部。
由于x(n)为实数列,因此对应的复数序列是共扼对称的。N点采样值经FFT变换后只能得到N/2个相互独立的结果。例如,当采样点数为128时,经FFT后,最高只能计算出64次谐波分量。根据上式就可求出k次谐波电压、电流的幅值。单相k次谐波电压含有率:

单相谐波电流含量:

电流谐波总的畸变率为:
![]()
其中:I1为基波电流有效值;j为总电流有效值;r=I1/I为基波电流和总I电流的有效值之比,称为基波因数。通过以上公式的计算,得出相关电参数的值。
2 硬件电路设计
整个检测仪表的硬件电路包括信号采集处理环节、单片机数据处理以及显示和通信等3部分组成,如图1所示。

2.1 信号采集处理环节
信号采集处理环节包括电流信号的采集、放大和滤波3个部分,如图2所示,其所要完成的目标是把被测电流信号变换为满足单片机电路要求的电压信号。

其中,电流采集部分使用HCT210A电流互感器,将被测电压信号转换为对应的电压信号。放大电路先对该信号进行分压,然后将3路信号通过由LM324芯片所组成的放大电路,此时的电压信号中高频分量容易超过A/D转换芯片的工作频率,造成频谱混叠和高频干扰,因此在此时必须加上一个滤波环节以消除高频影响。为了可以方便地改变截至频率,在该环节中选用开关电容滤波器MAX293来设计滤波电路,如图3所示。

2.2 单片机数据处理
软件设计主要采用C语言编程。在程序编程中,由于MSP430无法直接进行复数运算,必须把复数分解成实部与虚部的和,然后分别进行计算,因此需要先将正弦表在程序中计算形成,以便程序在采样之后读取进行运算。另外在程序运行后,需通过外设输入相应谐波次数。系统总体软件结构流程图如图4所示。

4 结 语
这里所提出的谐波检测系统,利用MSP430系列单片机组成的相关采集与运算电路。对电弧炉负载的电网电流谐波进行实时的检测并显示,有助于对电弧炉系统进行分析与控制和开展电力系统谐波抑制的研究。相比于DsP芯片,MsP430系列单片机更具有低功耗,低成本等优点,适用于便携设备的设计。
单片机数据处理环节的硬件部分包括A/D转换和数据处理两个部分。对于这里所使用的MSP43014X系列的单片机,虽然其内部集成了12位A/D转换器,但是由于需要多个通道同时转换三相电压、电流信号,因此要另外选取单独的A/D转换芯片,在这里选择MAXl25芯片,该芯片是一个具有2×4通道同时采样、14位数据采集系统。在A/D转换过程中,首先采集A相电压、电流,B相电压、电流这4路信号;转换结束后,单片机读取4路采样值然后再选择C相电压、电流进行采样。其核心部分单片机采用德州仪器公司(TI)的MSP430系列超低功耗微控制器。该芯片具有1个16位CPU、16位的寄存器以及常数发生器,能够最大限度地提高代码效率。为了使整个检测装置能够快速实时达到检测性能,单片机外接2块通过译码器扩展的64 KB的数据存储器和1块32 KB的EPROM片外程序存储器。为了使该检测仪能够同时检测三相电路的谐波信号,在硬件部分A/D转换部分要设置1个三选一的开关,利用软件系统控制每次采集并转换的某一相位。外设与显示设备的设计这里不再详述。
责任编辑:gt