时间:2020-07-30 15:50
人气:
作者:admin
本文重点讨论历来不可或缺但不可靠而造成实施负担的化学测量参数。电化学是化学的一个分支,通过测量电子从一种反应物到另一种反应物的转移来表征还原-氧化反应的行为。电化学技术可以直接或间接用于检测和测量上述水质指标。电化学测量系统主要由两个模块组成:
·传感器:一种用于测量水质指标并产生相应电信号的器件。
·测量和处理单元:测量和处理电信号的电路。
通常整个加工厂中部署单独的有线传感器。现场传感器需要经常清洗、校准和更换。无线网络可减少一些这样的负担,但通常被认为不够可靠,不能部署在这些应用的恶劣环境中。
随着科技的发展,现在采用新的测量和网络技术可以实现高可靠性无线传感网络。本文介绍一款演示平台,它将ADuCM355 的通用传感器接口功能与ADI公司的SmartMesh®IP 技术线状可靠性相结合,构成稳健的低功耗无线水质监测系统,专用于水质指标pH值测量。将该原理轻松扩展到其他电化学参数,可以针对每个无线传感节点形成一系列水质测量。

图1.典型电化学测量系统。
pH值测量和pH探针
pH值是衡量水溶液中氢离子和氢氧化物离子相对量的一项指标。中性溶液指氢离子浓度正好等于氢氧化物离子浓度的溶液。pH值是表示氢离子浓度、衡量溶液酸碱度的另一种方式,定义如下:

其中H+是氢离子浓度(单位:摩尔/升)。
溶液的pH值为0至14,中性溶液的pH值为7,酸性溶液的pH值小于7,碱性溶液的pH值大于7。
pH探针是由玻璃电极和参考电极组成的电化学传感器。

图2. pH探针
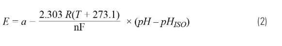
将pH探针插入溶液中时,测量电极会产生一个电压,该电压取决于溶液的氢离子活性,然后该电压与内部参比电极的电位进行比较。测量电极和参比电极之间的电位差就是测得的电位,用能斯特方程表示为:

其中:
E是电极电压,活性未知 a = ±30 mV,零点容差
T为环境温度(°C)
n = 1 at 25°C, valence (number of charges on ion) F = 96485 coulombs/mol, Faraday constant
n = 1(25°C),价(离子上的电荷数)F = 96485库仑/摩尔,法拉第常数
R = 8.314伏特-库仑/°K摩尔,理想气体常数
pH = 未知溶液的氢离子浓度
pHISO = 参比电解质的氢离子浓度;请参阅探头文档;典型pHISO = 7
此方程表明产生的电压以已知方式随pH值变化。还表明产生的电压与溶液温度成正比。随着溶液温度上升,两个电极之间的电位差增大,反之亦然。理想的pH探针在25°C下会产生±59.154 mV/pH单位。
温度变化也可能改变测量电极的灵敏度,进而引起测量误差。该误差是可预测的,并且可通过全温度范围内的探针校准和后续测量期间的温度校正来解决。温度传感器通常集成到pH探针中。温度传感器可以是负温度系数(NTC)热敏电阻或RTD,如PT100或PT1000。图3所示为带有温度传感器的pH探针。

图3.带有温度传感器的pH探针。
如果温度传感器测量到温度变化,则会向最终的pH读数应用校正系数,然后仪表将显示校正后的更准确的读数。该机制能够很好地补偿由于温度变化引起的pH值误差。
采用ADuCM355的pH测量单元

图4.集成温度传感器连接到ADuCM355的pH探针。
这是业界高度集成的先进化学传感器测量前端,它为pH值测量提供了一个平台解决方案,并且将所有必要的测量功能与低功耗微处理器相集成。ADuCM355是一款低功耗测量平台,尺寸很小,足以集成在传感器外壳内,而功能和性能堪比台式仪器。图4显示了ADuCM355的pH值测量板,其中的BNC和RCA连接器用于连接pH探针和温度传感器。该测量板来自CN-0428 参考设计,更多相关详情见图5。
图5.具有BNC和RCA连接器的ADuCM355 pH值测量PCB。
将pH值测量传感器节点连接到SmartMesh
通过将ADuCM355和ADI SmartMesh收发器相结合,我们创建了一个小型低功耗pH值测量传感器节点。ADuCM355将测得的pH数据作为数字输出。然后,该数字数据通过UART连接到ADI的LTP5902 SmartMesh IP无线收发器。 LTP5902 通过SmartMesh网络将数字数据传输至SmartMesh IP管理器。

图6.PH传感器连接到ADuCM355和SmartMesh无线传感器节点。
SmartMesh是ADI基于IEEE 802.15.4e标准的专有2.4 GHz多跳无线Mesh网络解决方案。其包括AES 128加密和身份验证,从而提供可靠的端到端安全性。它具有超低功耗和高能效,使每个传感器节点都可以通过电池供电运行。
SmartMesh网络使用时隙信道跳频(TSCH)链路层进行通信,该链路层可提供三重播放冗余。SmartMesh网络管理器(网关的一部分)全天候协调计划,管理安全性,执行无线编程(OTAP),并自动优化连接。该网络管理器还通过API提供详细的网络运行状况报告。对于小型网络,一个嵌入式管理器可支持多达100个传感器节点(也称为终端)。而VManager支持多达50,000个节点的大型安装。

图7.传感器节点和网络IP管理器在网关内的SmartMesh网络。
严格的网络压力测试可确保99.999%以上的数据可靠性,使SmartMesh成为工业无线传感器网络的理想解决方案,能够保持高网络可靠性,同时不丢包。
无线水质监测系统:

图8.使用ADuCM355和SmartMesh的无线水质监测系统。
图8所示的无线水质网络演示包含:
u 四个传感器节点:
■ 每个传感器节点都包含一个现成的玻璃电极pH探针,并且集成温度传感器连接到ADuCM355和SmartMesh IP终端,如图6所示。
■ pH探针检测pH值,ADuCM355执行测量和计算,并以数字输出提供测得的pH值,然后通过无线SmartMesh网络传输至SmartMesh IP管理器。
■ SmartMesh IP管理器通过USB连接到PC。
u 此系统中的网关由PC执行。该PC安装了Node-Red和SmartMesh SDK。 SmartMesh SDK用于创建JavaScript object notation (JSON)服务器以存储该数据,JSON服务器连接到Node-RED。Node-RED用于显示从每个传感器节点测得的pH数据,并允许连接到IBM Watson、Amazon AWS等云服务。
硬件设置
图9.无线水质网络。
出于演示目的,我们使用的是错列三格鱼缸,水从顶格流到后面每格。每格中都插入一个pH传感器探针。我们在远处参考溶液中放置了第四个探针(图9未显示),以表示SmartMesh远程无线通信。当我们改变顶格中溶液的pH值时,Node-RED上的数据随之更新,显示新的pH值。由于新的pH溶液从顶格流到后面每格,其他两个pH传感器也会更新其测量值,屏幕上显示其数据。由于第四个传感器位于pH值没有变化的参考溶液中,因此该传感器的读数不变。以下各节提供了有关Node-RED和测得数据的更多信息。您也可以在此处查看演示记录。
图10.传感器节点。
测量数据:
4个传感器节点的pH测量值通过Node-RED显示在PC上。
Node-RED是一个具有Web浏览器的编程工具,允许连接硬件设备、API和其他在线服务。演示的JSON流如图11所示。

图11.JSON流。

图12.无线水质演示仪表板。

图13. IBM Watson上显示的pH测量数据。
pH测量数据推文。
结论
本文介绍使用ADI的ADuCM355和SmartMesh IP技术的无线水质监测系统。这些产品具有小尺寸和低功耗特性,因此传感器节点可以由电池供电。即使在恶劣的外部环境中,采用稳健的SmartMesh技术也能可靠地传输数据。该演示说明了一个高度可靠的无线监测系统以及云连接。对于不同的最终应用,都极具应用前景,利用该技术,不仅能够在难以接近的位置监测水质,为不同的水质阈值创建警报和警告,还能够利用测量数据持续获得更多可靠的水质信息。
责任编辑:pj