时间:2020-08-03 10:33
人气:
作者:admin
引 言
传统的幅度、相位差、阻抗测量需要采用多个中小规模集成电路,不仅电路复杂,测量精度低,而且适用的频率范围窄,只能测量低频或中频信号。本文介绍利用美国ADI公司最近推出的AD8302芯片测量RF/IF幅度和相位差并计算阻抗。此芯片是测量幅度、相位差的首款单片集成电路,可广泛用于GSM(全球移动通信系统),电力系统的阻波器、结合滤波器等领域。
1、 AD8302性能特点
AD8302内含两个精密匹配宽带对数检波器、一个相位检波器、输出放大器组、一个偏置单元和一个输出参考电压缓冲器等,能同时测量从低频到2.7 GHz频率范围内的两个输入信号之间的幅度比和相位差。该器件将精密匹配的两个对数检波器集成在一块芯片上,因而可将误差源及相关温度漂移减小到最低限度,因此,AD8302不仅能测量放大器、混频器等电路的增益和相位差,而且特别适合对无线基站及测试设备的检测。
两个输入信号的动态范围为±30 dB,输出电平的灵敏度为30 mV/dB,输出电流为8mA,转换速率为25 V/μs;相位测量范围可达180°,相位输出时的转换速率为30 MHz,响应时问为40 ns~500 ns(视被测相位差而定);增益及相位差的小信号包络带宽均为30 MHz(将MFLT端开路),利用外部滤波电容器可减小带宽。
2、 AD8302工作原理及模式
2.1 AD8302幅度和相位测量原理
AD8302幅度和相位测量工作模式连接如图1所示。其原理是基于对数放大器具有对数压缩的功能,一般数学表达式为:
![]()
式中:Vin为输入电压;VZ为截距;Valp为斜率。

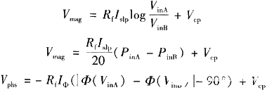
AD8302正是利用上述原理,通过精密匹配的2个宽带对数检波器来实现对2个输入通道信号的幅度和相位测量,其幅度和相位测量方程式为:

式中:VinA为A通道的输入信号幅度;VinB为B通道的输入信号幅度;Vmag为幅度比较输出;φ(VinA)为A通道的输入信号相位;φ(VinB)为B通道的输入信号相位;Vφ为斜率;Vphs为相位比较输出。
2.2 AD8302测量工作模式
AD8302有测量、控制器和电平比较器3种工作方式,但主要功能是测量幅度和相位。如图1所示,当芯片输出引脚VMAG和VPHS直接与芯片反馈设置输入引脚MSET和PSET相连时,芯片的测量模式将工作在默认的斜率和中心点上(精确幅度测量比例系数为30 mV/dB,精确相位测量比例系数为10 mV/(°))。另外,在测量模式下,工作斜率和中心点可以通过引脚MSET和PSET的分压加以修改。
在低频条件下,幅度和相位测量方程式为:

式中:PinA和PinB为功率(单位为dBm),在指定的参考阻抗下,它们可以与VinA和VinB(单位为V)等价。
对于幅度测量方程,RfIslp代表斜率为600 mV/(°)或30 mV/dB,中心点900 mV代表0 dB增益,-30 dB~+30 dB增益范围对应0 V~1.8 V输出电压范围。对于相位测量方程,RfIφ代表斜率为10 mV(°),中心点900mV对应90°,0°~180°的相位范围对应1.8 V~0 V的输出电压范围。默认测量模式下的幅度和相位的理想响应特性曲线如图2、图3所示。

3、 AD8302典型应用
由于AD8302将测量幅度和相位的能力集中在一块集成电路内,所以由它构成的系统能精确判断信号的纯度,并对系统性能水平进行精密监测和校准。目前可以广泛应用于RF/IF功率放大器线性比的测量,下面介绍典型的应用。
3.1 测量放大器或混频器的插人损耗和相位
AD8302最基本的应用是监测诸如放大器、混频器等电路的幅度和相位响应特性。如图4所示,通过定向耦合器DCB或DCA耦合取样黑匣的输入和输出信号,衰减器ATTENA和ATTENB的作用是使耦合器耦合取样的信号幅度低于AD8302输入信号幅度的动态范围。通过对AD8302动态范围的讨论,对于50 Ω系统而言,其两通道点位于POPT=30 dBm处,为了达到最佳点,耦合系数和衰减因子可由下式得到:

式中:Ca和Cb为耦合系数;La和Lb为衰减因子;Gnom为放大器额定增益。

3.2 测量电力阻波器的阻抗(Rh、Xb、Zb)参数
电力阻波器一般由电感型式的主线圈、调谐装置以及保护元件组成,串接在高压输电线中,经适当调谐,对载波频带(40 kHz~500 kHz)呈现较高阻抗,而工频阻抗可忽略不计,用来限制电力系统分支点载波功率的损失。
电力阻波器测量系统的原理框图见图5,用DDS(直接数字合成器)AD9850作为信号源,被测信号Ui经输入接口电路送至AD8302的A通道和B通道,AD8302测出的幅度、相位再经过A/D转换后给S3C44B0主控制器,主控制器换算后发给采色LCD(液晶显示器),直接显示被测幅度、相位差及测试时间,测量误差小于1%,并保存到M48T37带日历时钟存储器中。

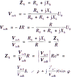
阻抗测量接口电路见图6,其中:U0为测试信号源;R0为信号源内阻;N1、N4为跟随器;N3为反相器;N2和R为组成电流/电压转换器。

ZX是被测阻抗,A通道和B通道同时测量ZX两端的电压和流经ZX的电流。根据复数运算规则可写出如下表达式:

阻塞电阻、电抗分量和阻塞阻抗分别为:

式中,R为已知值,AD8302同时测量2个输入信号的幅度比VinA/VinB以及相位差φ,就可计算出Rb、Xb和Zb的值。
根据相位测量方程和响应曲线可知,相位比较输出Vphs只与2个信号相位差的绝对值有关,因此无法判定电抗分量的符号。由于测试信号源采用DDS,可实现快速编程和跳频,采取f+△f的测量方法,来判定电抗分量的符号,即感性还是容性分量。
4、 结束语
AD8302能将测量幅度和相位的能力集中在一块集成电路内,使原本十分复杂的幅相检测系统的设计大大简化,而且系统性能得到极大提高。据此设计的电力阻波器、结合滤波器自动测试仪,由于体积小、重量轻、测试准确、耗电省,给现场检修测试带来了极大方便,并且系统的可靠性很高。
责任编辑:gt