时间:2020-07-28 15:40
人气:
作者:admin
引 言
在暖通空调领域,随着测试技术的发展及测试要求的不断提高,一些具有与计算机直接通信功能的高精度温湿度测试仪表已经在科研和工程中被广泛运用。然而对于整个测试系统而言,单个仪器本身存在一些限制:仪器本身只能显示某一时间点的数据,不能看到参数的实时变化趋势;仪器本身缺乏数据处理能力,而某些测试场合需要不同测量仪表所测参数进行计算而得出有利用价值的分析指标,比如PMV(预测平均评价)、PPD(预测不满意百分比);受仪器本身记忆卡内存的限制,仪器只能存储有限量个数据。与此同时,各个品牌的仪表与计算机通信的方式不完全相同,有RS 232串行通信、GPIB总线通信等。因此,如何把这些仪表整合到同一个平台上,开发一个功能强大的综合测试系统已成为一个新的工程应用方向。
1、 室内温湿度测量仪表
本设计采用一款多功能的室内气流测量仪表,通过选择不同的探头,测量温度、湿度、风速、风压、风量、二氧化碳浓度、湿球温度、露点温度及水蒸气含量等参数。仪表自身带有信号输出功能,通过USB或者RS 232接口可以直接与计算机进行通信。但是在整个测试系统中,还需要与其他测量仪器所测试参数结合在一起进行分析,系统软件LabVIEW就能满足这个要求。
2 、LabVIEW的优点与运用
LabVIEW是美国国家仪器公司推出的创新软件产品,是目前应用最广、发展最快、功能最强的图形化软件开发集成环境,被视为一个标准的数据采集和仪器控制软件。它既可以通过波形图像动态实时地显示仪器测得的数据,又可以实时分析处理波形,显示数据,得到用户最终需要得到的各种参数,从而避免等到采集结束后需要通过其他的软件来进行数据处理的问题。
LabVIEW软件最大的特点是,可以把不同通信协议与通信方式的仪器综合地开发到同一平台上,其包含了各种仪器通信总线标准的功能函数,不仅提供数百种不同接口测试仪器的驱动程序,还支持VISA,SCPI和IVI等最新的程序软件标准,为用户设计开发不同的先进测试系统,提供软件支持。本设计通过应用Lab-VIEW的 VISA节点,设计一种USB串口通信程序。
3、 热舒适测试系统
本设计的目标是通过温湿度、风速等测试仪表采集实时数据,通过对数据的分析计算,得出热舒适的PMV和PPD,设计原理如图1所示。要实现该功能,首先必须解决数据采集问题,即仪器与LabVIEW之间的通信程序;其次是要编写计算PMV与PPD的程序。

3.1 测量仪器与LabVIEW的通信
LabVIEW中的 VISA节点用于串口通信。通过LabVIEW中VISA函数实现串口初始化、串口写、读、检测并清空缓存、关闭来实现仪器与LabVIEW通信。在程序运行时,测量仪器设置为USB连接。程序运行时可以通过循环间隔时间设置采集时间间隔。
3.2 数据的记录
通过文件 I/O函数进行采集数据的记录与保存。通过打开、格式化、写入、关闭文本来实现采集数据的记录。
3.3 数据的在线显示
通过生成表格和波形图来显示在线数据。由于电子表格和波形图输入必须是数值,而读取缓冲区的数据是字符串,在程序设计时必须对字符串与数值进行转换,才能在波形图中显示。
3.4 PMV与PPD程序设计
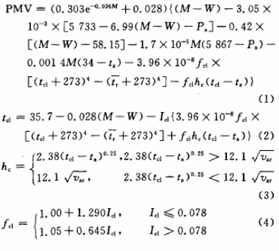
通过反应人体对热平衡的偏离程度的人体热负荷得出PMV指标,计算公式如下:

式中:M为人体能量代谢率(单位:W/m2);W为人体所做机械功(单位:W/m2);Pa为人体周围水蒸气分压力(单位:Pa);ta为人体周围空气温度(单位:℃);fcl为服装面积系数;tcl为衣服外表面温度(单位:℃);tr为平均辐射温度(单位:℃);hc为对流换热系数(单位:W/(m2·K));Icl为服装热阻(单位:m2·℃/W);var为平均风速 (单位:m/s)。
针对以上五个公式,运用LabVIEW编写PMV,PPD计算程序。由式(2)可知,tcl的计算是一个迭代过程,它通过LabVIEW中While循环结构实现;hc,fcl通过条件结构进行判断,最后将式(2)~式(4)代入式(1)求出PMV。具体程序如图2所示。

为了验证程序的正确性,运用Matlab编写相同的计算程序,与LabVIEW计算结果比较。通过一天测试的结果,比较曲线如图3所示。由图可看出,不管是变化趋势,还是各个测试时刻的数据点都完全吻合。由此得出,LabVIEW的数据后期处理功能强大且稳定。

4、 结果与分析
4.1 系统运行结果
图4显示了数据采集以及PMV,PPD计算的在线显示结果。由采集到的4个参数rh,ta,v,tr与输入参数m,CLO一起通过程序运算,得到PMV,PPD结果。

4.2 系统性能测试结果与分析
4.2.1 采样频率对于测试系统的影响
某些测试系统在工程运用中会出现随着系统连续运行时间的延长,而采样速度越来越慢的情况,直到系统崩溃。这里检验采样频率对测试系统的影响。本设计中仪器的最高出样频率为10 Hz。实验中,分别采用10 Hz,8 Hz,4 Hz的采样频率对测试系统进行连续测试,测试结果如图5所示。由图可看出,采样频率随着测试时间的延长,不断的衰减。采样频率越高,衰减的越快,越迅速。当以10 Hz采样时,系统运行不到5 min就开始崩溃;当以4 Hz采样时,系统也只能平均运行30 min。不管是采用高的采样频率,还是低的采样频率,只要是系统连续运行,系统早晚都会出现崩溃。因此,可以得出,采样频率不是导致测试系统崩溃的原因。
4.2.2 数据记录对于测试系统的影响
测试系统通过创建文件记录数据,波形显示记录数据,表格显示记录数据三种方式来记录数据。鉴于上面提到的计算机运行崩溃的问题,在10 Hz的采样频率下,分别测试在三种记录数据的情况下计算机的运行情况。图6表示了以10 Hz的采样频率测试时计算机CPU和内存的运用情况。从图中看出,创建文件和波形显示记录数据时,计算机的运行稳定,CPU使用率在7%左右,内存占用 75 000 KB左右;当采用表格记录数据时,系统一开始运行,计算机的CPU使用率和内存占用空间都在不断升高,直到系统运行到4 min时,CPU的使用率达到100%,系统崩溃。

在4.2.1节中系统以10 Hz采样时,采样频率也是在第4 min的时候开始衰退,两者出现的时间点吻合。鉴于上述情况,实验发现,当LabVIEW系统采用内置表格记录数据时,记录的数据不断占用系统内存,直至计算机崩溃,最终导致测试系统的崩溃,使得出现采样频率持续衰减的现象。

[page]
4.3 测试系统改进与分析
鉴于上述问题的所在,在进行系统改进时,还是采用三种方式记录数据,只是在表格记录数据时,限制表格记录数据的内存大小。经过改进后的程序以10 Hz的采样频率测试,测试结果如图7所示。从图中看出,改进后的测试系统在连续运行5 h,采样频率依然稳定,计算机内存只是在开始的3 min内增加,之后到达一个稳定值。CPU的使用率同样是在开始的3 min内有所增加,之后迅速回到7%并保持稳定。

5、 结语
该系统经过长时间的测试,运行稳定。实验结果表明,通信安全、可靠;计算机得到了实时准确的测量数据;程序对测量数据的后期处理功能强大,界面友好美观,能满足多数场合下的热舒适性测试。不足之处在于传输速度不高,传输距离不远,这是受到串口通信的限制。另外,由于系统内存大小的限制,实时看到的数据量有限,所有测试数据必须等测试结束后打开文本查看。本设计为10通道串口通信热舒适测试系统,至于不是串口通信的测量仪器,只要能提供输出信号,采样同样的方法也能接入到本测试系统中。目前,该系统已经运用于小空间热舒适的测试。然而,现在的实际测试中需要测试几百,甚至几千几万个点,最终得出整个测试区域的温度场、湿度场、浓度场等,进而可以与计算机模拟场进行比较,因此,通过上述研究的方法实现测试点扩张成为后续需要解决的问题。
责任编辑:gt