时间:2020-07-15 14:40
人气:
作者:admin
虽然热电偶是最常见的表面温度测量方法,但因为热电偶的读数实际上是其自身电流温度的测量值,所以测量的挑战始终是如何让热电偶正确匹配已测表面的热量。但是,当依靠热电偶的测量值作为确定发射率的参考值时,很少有红外热像师会考虑这一测量值的不确定性。
本文将阐述热电偶背后的原理,并通过示范,说明其在使用过程中存在的诸多问题。另外,我们也将重点介绍优先使用红外热像仪和热电偶组合的情况,以及红外热像仪本身作为测量表面温度出众方法的案例。
引言
大量的商业和工业流程依靠精确的温度测量。但是否精确执行了测量?测温方式以及测温精度是所有应用中都必须回答的两个极为重要的问题。我们将在全文中对这一话题进行讨论。
本文的核心主旨围绕“使用热电偶精确测量表面温度”这一个最大的测温难题。作者坦诚表示,虽然热电偶能够提供液体和气体的精确测温读数,但使用热电偶进行表面测温却存在诸多独特的问题。
背景资料
“如果我们想要测温,为什么不能只用热电偶?”这是红外成像讲师常会问的一个问题,让课堂里使用红外热像仪的学生产生有趣的思考。当被问到热电偶安装时,很多学员建议使用电工胶带,因为它价格便宜,易装易拆。一位来自暖通空调行业的学员表示,他通常会在压缩机上用电工胶带安装热电偶,相比其他仪表,更倾向于依靠热电偶的测温读数。
临时性的安装热电偶可能是一个最糟糕的方法,因为它对测量表面温度来说并不能达到一致、准确的结果。通过粘合进行永久性的安装对于需要获得一致测量结果的人员来说是一个首选方法。当永久性的安装方法实施起来不方便也不具可行性时,红外成像技术会是一个首选方案,但并不是唯一的。
过去的观点
物理学家Thomas Seebeck在1821年发现了“热电效应”,即受到温度梯度影响的任何导体会形成电压。Seebeck 错误解读了这一效应,认为电流具有磁效应,而非电效应。事实上,在1822年和1823年提交给普鲁士科学院的报告中,对他的观察结果做了如下描述:“是温差导致了金属和矿石的磁性极化”。
Leopoldi Nobili和Macedonio Melloni这两位意大利物理学家继续Seebeck创造温差电池的工作。这种温差电池现在被称为“温差电堆”。当Nobili和Melloni将温差电堆与电流计耦合时,他们成为第一批能够测量红外辐射的物理学家。
热电偶的基本结构
图1的图解显示的是一个完整的热电偶电路。两个不同的金属被连接到一个电路中,受到温度梯度的影响产生电压变化。

温度梯度的变化会导致电压变化。这些电压一般在“微伏/ ℃”范围内。温度梯度越高(表明温度越高),产生的电压就越高。
当温度变化较小时,Seeback的电压变化与温度呈线性比例关系。传统的公式表示为:
eAB=α∆T
为了测量由温度梯度引起的电压变化,必须要在电路中安装一个电压计。这就增加了两个电气接点:一个是铜到铜的接点,另一个是铜到异种金属的接点。既然我们在电路中有两个热电偶,那么电压计要如何区别这两个热电偶?请注意,假定图1中的冰浴温度为0℃,将其作为“已知的参考接点”或已知温度。一旦一个接点温度已知,则另一个接 点的温度——也就是我们打算测量的温度——便可以通过数学公式的计算加以确定。
当你购买并安装了热电偶,要在哪个位置加冰浴?对于工厂制造的热电偶,比如Extech EA10,生产商使用硬件补偿和内部温度感应电阻代替冰浴。这通常被称为电子冰点参考电路,区别于各类热电偶。
电压转换成温度
热电偶的电压必须最终转换成温度。热电偶产生的热电势,是热电偶两端之间的一个温差函数,该函数在非常宽的范围上非常接近线性。下图的曲线为K型热电偶的“标准响应曲线”。这是一个校准过程。

但是,热电偶的温度与电压关系并不一直是线性关系。之前介绍的公式显示的是一个理想的温度与电压关系,其中Seebeck的系数α是一个常量。但与实际情况并不符,α应该是由一个多项式表示的变量。
热电偶的校准过程会生成一条理想的曲线,如图2所示。蓝线代表的是实际输出(毫伏)与温度的关系,虚线则是数据的“最佳拟合”线。尽管在检查实际数据时,在某些点上可能有明显的非线性数据,但这种类型热电偶的输出电压 与温度变化还是相对呈线性关系。这一曲线仅供说明之用。
表示校准曲线的多项式系数结合毫伏输入值共同确定热电偶的温度读出值。
商用热电偶
同许多其它十九世纪工业革命的发明一样,热电偶也有许多的日常用途。

图3所示的热电偶是一款典型的通用测量工具。这款热电偶可靠、经济并且可从多个批发商获得。许多生产商会生产此类仪表,以下评论并不只针对Extech(FLIR公司)。
用户手册中所标明的EA10精度为+ / - 0.3% + 2℉。两个K型热电偶在5分钟的时间内每个读数都在0.4℉至0.8℉之间,被认为具有良好的关联性。
说明书简单易懂,显示了仪表的所有功能,并提供英语、西班牙语和法语版本。
本文作者从Extech的多个竞争对手处下载了说明书,发现此类通用工具的说明书都类似。所有生产商都提供了多语言版本的清晰、简洁的说明。
虽然在说明书中提供了丰富的信息,但却遗漏了一个非常重要的信息,那就是热电偶的安装方式。生产商虽然会对仪表的操作提供说明,但并未对测量任务中最关键的一步:测量方式进行说明。这个步骤需要理解热电偶的应用环境。仅在Omega Engineering的一张说明书中可以找到有关热电偶安装的信息,并提到了他们的环氧胶粘剂。请参考永久热电偶的后半部分内容。
热电偶的应用环境——表面热传导
热电偶的本质只表明其达到的温度。在对固体、液体或气体进行温度测量时,难点在于将热电偶归一化到与固体、液体或气体相同的温度。本文探讨的是其中最大的难点——对固体表面的温度测量。
表面(名词)
a)目标或物体的外表面或上边界
b)点的平面或弯曲的二维轨迹
c)某个事物的外部或表面
从《韦氏词典》(www.m-w.com)提供的关于表面的简单定义中,需要着重注意的是,它所涉及的是一个非常广义的表面,对温度测量提出了最大的挑战。将表面描述为“点的二维轨迹”最能关联使用红外热像仪观测到的热电偶的 测量难点。从技术上讲,这些点虽然无限小,但集合到一个区域内时,即定义为表面。

热电偶的两种常见形式是J型和K型珠状热电偶丝,通常会被临时连接到表面上。这类热电偶也可以进行永久粘合固定。
无论是临时安装还是永久粘合固定的J型或K型热电偶,其一个明显的测量难点是热传导的问题。这是因为物体表面和热电偶之间的主要传热方式的传导。一维表面的傅立叶热传导定律为:

所有的 I 级、II 级和 III 级红外热像师都十分熟悉这一公式和术语。那么对公式中的A,您会采用何值?从技术角度上来看,因为它是一个点,所以必须为零。但在现实中,它不能为零,因为在我们将热电偶放到平面或曲面上时,就能获得读数。不妨动手尝试一下,然后注意温度上升的缓慢程度。因为它的热传导区域很小。
万一遇到非常复杂的传导传热过程,便不能使用简单的公式。此时,我们必须修改上述公式,引入传导形状系数的概念。传导形状系数用于考虑特定的几何形状,不会在上述普通的公式中加以考虑。因此,我们可以将这个普通的公式改用一个新公式,其中术语S,也就是我们的传导形状系数:

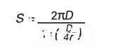
在涉及球体和平面的计算中,如图4所示,我们会得到一个相当复杂的公式,其中D表示为锡球的直径,r为其半径:

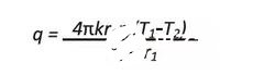
显然,S值越大,则热传递也越大,传递到热电偶的热量会越多,使其响应值更精确。到目前为止,我们已说明了热量从平面传导到球面。现在,我们必须将热量从球面传导不同的接点,从而建立温度梯度。这就涉及到另一个公式:

在上面的公式中,r1表示锡球半径,r2表示热电偶丝半径,k为锡球中材料的导热系数。
热量从我们希望测量的表面传递到对其进行测量的装置内——即使近似于稳态条件和稳态方程——会涉及一些有趣的数学概念。如果这种情况扩展到瞬态条件,即温度变化极快,数学的计算会变得非常复杂,且测量难度大大增加。
热电偶的应用环境——表面对流
既然热电偶放置在一个表面上,并引入了复杂的热传导形状系数,在增加另一个流程——对流后,问题会变得真正复杂。所有表面都会受到三种热传递形式的影响:传导、对流和辐射。唯一的例外情况是当表面存在于真空中时,不会发生对流。
图5中所示的热图像是连接某表面的K型热电偶,上面有一块电工胶带(整个实验装置见图7)。我们能清晰看到导致Seebeck效应的温度梯度,如同胶带与金属表面之间的发射率差异。

辐射热传递差异明显。这块将热电偶固定到表面上的胶带对来自罐体表面的热流有隔热效果。因为在这块区域内传导热传递的耐热性明显提高,所以这块区域的辐射和冷却都很快。在图5中可以得出结论:胶带区域明显比金属表面看起来更亮。
而更让人产生困惑的是对对流影响的确认。使用传统红外热像仪探测因对流造成的微弱温度影响的能力非常有限。但是,FLIR GF320红外热像仪具有高热灵敏度(HSM)模式,带有连续图像帧间差分功能,能够探测微量气体。

请观察图6中不同图像之间的细微差别。假定表面温度为44.4℃,整个表面由对流导致的温度变化达到0.7℃。
热电偶的应用环境——效应组合
所有上述的净效应如图7所示。一根热电偶放入罐内并固定在罐内表面,另一根固定在大致相同的外表面位置。预计这两个读数应完全相同,但事实上并非如此。

大部分时间,这两根热电偶的温差在0.5℉范围内,但也有例外。例外可能是因为房间的对流气流,如图6所示。因为水的密度,所以罐内水的对流气流更大,但这导致了T2的温度相比T1发生偏移,但不会导致温差。
此处出现的读数差异虽然是由前面提到的所有效应造成的,但最主要的还是传导热传递。珠状热电偶末端的锡球形状使热传导的发生区域非常小。传导形状系数的大小显示相同。
既然我们已经得出“临时性安装热电偶是一个糟糕的做法”的结论,那永久性固定热电偶的方法呢?
图8是一张使用FLIR GF309工业炉检测热像仪拍下的原油加热炉图像。对炉管温度进行测量以确定炉管寿命和加热炉的工作参数。一根热电偶被永久地固定在一根新装的炉管表面上,在图像中的左上角位置,从图片中无法看到。

加热炉中的热电偶可能处于极端的环境中:气体温度在1,537℃以上,辐射环境在982℃以上(分别对应2800℉和1800℉)。
遗憾的是,热电偶测量的是单点温度。虽然在持续一段时间内能提供有用的数据,但无法显示炉管内有无结焦。结焦情况严重会最终导致炉管破裂。从图8中你可以看到结焦情况,在热图像中呈现白色热点。
这些恶劣的环境会明显影响热电偶的长期性能。很不幸的是,这些并不是唯一存在的问题。
粘合固定的热电偶——回归小规模
如图7所示使用电工胶带的结果无法令人接受。所以便研究出了另一个更好的方法:粘合固定热电偶。笔者认为这在价格上将近5倍价格,但能大大改进结果。
选择了两根Omega的CO1 K型快速响应热电偶。箔片的厚度为0.0005英寸,粘合在很薄的聚合物/玻璃薄片之间。这类热电偶极薄极平,非常适合安装在曲面上。Omega推荐了OB200环氧胶黏剂用于安装。
根据生产商的建议将环氧胶黏剂(两部分的胶黏剂和催化剂)混合后涂在两个表面上,并进行固化处理以接近推荐的温度。笔者需要重申的是,热电偶安装方式仅能在环氧胶黏剂的说明书中找到,而非在热电偶的说明书中进行说明。

面对这些结果,却提出了一个难题:要相信哪个?每根热电偶以相同方式安装在容器内表面和外表面的同一位置上。使用一块电热板加热罐体,并基于简单的对流热传递方式——封闭空间和开放空间之间不同的膜系数——没人会期望两个读数能匹配上。虽然两根热电偶读数会在一天之中多次呈现完全一致的结果,但从热图像获得数据得出,容器外表面安装的热电偶会有8℉的温差,同时容器内表面安装的热电偶会有13℉的温差。外表面的热电偶处在房间内空调的气流对流下。热像仪和热电偶之间的读数基本上都不一致,特别是热像仪与外表面的热电偶之间(热电偶读出的T2读数更小)。
一旦对热电偶进行充分的固化处理并进行完整性检查后,将第三根热电偶用胶带贴到表面上,然后注入热水。结果如下:

请注意,现在罐内注满水,粘合固定的热电偶几乎与胶带上红外测量数据完全一致。两根粘合固定的热电偶对内表面水温的测量温差都在1℉内(必须将水用力混合,以限制自然对流,降低对流的附面层),但明显不同于第三根用胶带固定的热电偶读数。显然,临时连接的热电偶完全不可靠,不应再使用。相比之下,粘合固定的热电偶与红外热像仪测量结果一直,但仅限于罐内有水的情况下。
这些结果表明了这一看似简单的应用的难点。图6、图9和图11中的图像提供了差异原因的线索,说明热电偶和红外热像仪有时候结果不一致的原因是因为对流问题。在图11中,罐体经过自然冷却,在室温对表面进行测量。在图9和图10中,罐体内是空的,使用加热板从底部进行加热。所以,这两个对流热传递条件都很难。其次,两个罐体(容积热容量)的热惰性显然在注水情况下比只有空气的情况要大。最后,正如图9和图10所示,图9中的温度梯度更大,测量点的选择更重要!
长期性能
既然已经明确使用热电偶测量表面温度会非常复杂,那么还要考虑哪些因素?有几个关于热电偶长期性能的问题需要考虑。
不良的接点连接:热电偶的安装方式至关重要。通过电工胶带进行的临时性连接几乎在任何情况下都是一个糟糕的做法。导电式的粘合连接或特别的粘合固定热电偶虽然可能是一个比较好的选择,但也必须考虑环境因素。在高温环境下,会将专用的热电偶焊到表面上。焊缝可能会在压力下分开,产生不可靠的读数。这可能会突然发生或是一个渐进过程。
校准降级:在极高温度或具有腐蚀性的环境下操作热电偶可能导致大气颗粒扩散到热电偶金属中,改变热电偶整个的特征属性和校准性。具有最高的温度梯度(导致校准问题)的热电偶可能会出现高温退火。
高温:高温会影响热电偶周围的隔热层。在加热炉中,热电偶可能实际上测量的是隔热层被破坏时释放的气体温度,而非表面温度。
电蚀作用:如果隔热层包含某些水中滤去的染料,会形成电解质。由此产生的电流可以比Seebeck效应多数百倍。
热滞后:理想情况下,我们需要一根小热电偶,使其不影响表面温度。但是小热电偶通常配备小热电偶丝,会极大影响响应时间。
总结与结论
经验教训:
1、热电偶能在生产商规定的精度内可靠测量其自身温度。
2、生产商规定的精度不一定是测温精度。
3、虽然目标是让热电偶达到与表面同样的温度,但在实际操作上不可行。
4、热电偶可以精确测量液体和气体的温度,但在精确测量表面温度方面存在短板。
5、热电偶会明显影响表面上对流和辐射热传递,从而影响读数的准确性。
6、应避免使用临时安装的热电偶。
7、如果安装正确,粘合固定的热电偶最可靠。
8、应使用红外热像仪确定热电偶的正确安装位置,避免出现强温度梯度。
9、避免在有会影响读数的强对流气流位置安装热电偶。
10、避免先入为主的假设。定期检查永久性安装的热电偶的校准和完整性。
人比较:gt