时间:2020-07-01 15:03
人气:
作者:admin
什么是IQ 调制器?IQ 调制器如何工作?接收侧如何解调出IQ信号?本文将给出具体介绍。

图1. 数字调制发射系统架构示意图
1. 什么是IQ 调制器?
图2给出了IQ 调制器的简要架构示意图,通常包含四个端口:模拟I 输入端口,模拟Q 输入端口,LO (本振) 端口以及射频输出端口。有的IQ 调制器还支持差分模拟I/Q 输入,因此具有更多的端口。IQ 调制器包括两个对称的支路,每个支路包含一个Mixer (上变频);两个Mixer 的LO 同源,但是要求正交,即存在90°相位差。

图2. IQ调制器架构示意图
IQ 调制器具有三个比较关键的性能指标:
(1) 整个带宽内的频率响应;
(2) 两个支路间的幅频响应对称性(IQ增益平衡);
(3) 两路LO 信号的正交性。
这些指标的优劣将直接影响信号调制质量的好坏。IQ 调制器的频率响应包括幅频响应和相频响应,对于理想的线性时不变系统(LTI),幅频响应是平坦的,相频响应是线性的,信号可以无失真的传输。因此,频响性能越好,调制质量越高,从系统的角度讲,BER 越低。
为什么要强调IQ 调制器两个支路间的幅频对称性呢?如果两个支路的频率响应不同,就会造成IQ 不平衡传输,当产生中心频率与IQ 调制器LO 频率不同的信号时,镜频分量抑制效果会变差。因此,需要控制IQ 调制器支路间的幅频特性差异。
类似地,两个Mixer 的LO 正交性也将会影响镜频抑制能力。如果完全正交,则不会对镜频抑制能力有影响。当偏离正交时,镜频分量会增强。
如果模拟IQ 调制器的特性不是很理想,势必会影响信号的调制质量。但是,可以通过源端预失真来补偿,从而改善信号质量,比如矢量信号源中允许调整I/Q Imbalance 及I/Q Quadrature 参数等。
2. 发射端调制器是如何实现IQ调制的?接收端解调器又是如何实现IQ解调的?
此处信号的调制与解调,仅限于模拟IQ 信号到RF,再从RF 信号解调出模拟IQ 信号。通过下面的介绍,除了调制与解调的过程,您还将会了解为什么基带I 和Q 信号的带宽经过IQ 调制器后会翻倍。
为了便于理解,首先介绍一下信号的单边带频谱与双边带频谱。这两种频谱都可以准确描述信号的频谱,但是出发点不同,应用场景也不同。
任何一个周期信号,只要满足狄里赫利条件,均可以写为一组完备正交集函数的无穷级数。通常完备的正交集函数为三角函数,比如{cos(n Ωt );sin(n Ωt ),n 为任意非负整数};根据欧拉公式,三角函数与虚指数函数存在一定的关系,因此周期信号也可以写为虚指数函数的无穷级数。

如果按照三角函数级数展开,则对应的频谱为单边带频谱,如果按照虚指数函数级数展开,则对应的频谱是关于零频左右对称的频谱,此时称为双边带频谱。由于运算更加方便,双边带频谱应用更加广泛。
对于调制应用而言,涉及到频谱的搬移,因此采用双边带频谱更加方便。下文所涉及的频谱,均指双边带频谱。双边带频谱包括负频率成分,没有具体物理意义,但是从数学角度讲,这些又是构成傅里叶变换的必不可少的组成部分。
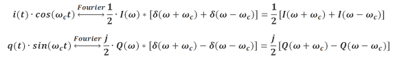
图2所示的IQ 调制器,在上变频的过程中,两个Mixer 实际上起到乘法器的作用,即i(t) 与cos(ωct )相乘,q(t) 与sin(ωct) 相乘,最后合为一路输出。
假设I(ω) 和Q(ω) 分别为i(t) 和q(t) 的傅里叶变换,而三角函数的傅里叶变换为

根据频域卷积定理可得:

由此可见,i(t) 和q(t) 经过混频器后,从傅里叶的角度看,其双边带频谱发生了搬移,中心频率由DC 搬移至ωc。傅里叶变换的产物中还包含(-ωc)频率成分,如前所述,负频率不具有实际物理意义,但是作为傅里叶变换的重要组成部分,构成了整个变换的数学完整性。
虚数 j 的存在表明,两部分信号之间的载波存在90°相差,二者保持正交。
以上数学推导也可以由图解完成,图3给出了正、余弦函数的傅里叶变换示意图,模拟IQ 信号经过调制器后,频谱变换示意图如图4所示。

图3. 正、余弦三角函数的傅里叶变换

图4. IQ调制频谱变换示意图
因采用双边带频谱描述信号,i(t) 和q(t) 实际带宽为双边带频谱带宽的一半,由上述推导可知,当经过IQ调制器上变频之后,整个双边带频谱搬移至射频,故输出的信号s(t) 的带宽相对于基带模拟IQ信号的带宽翻倍了。
在接收侧,射频调制信号可经过模拟IQ解调器解调,经过低通滤波器之后分别得到模拟I 和Q 信号。数学推导与IQ调制类似,此处不再赘述。图5给出了IQ解调器的整个图解过程,非常清晰地表明了如何由射频信号得到模拟IQ信号。

图5. IQ解调频谱变换示意图
3. IQ调制与解调的实现方法有哪些?
前面介绍调制及解调过程时,默认是按照模拟IQ调制/解调器介绍的。现实中绝大多数数字调制发射系统均是采用了模拟IQ 调制器,从测试设备的角度讲,矢量信号源也是采用了模拟IQ 调制器的架构。尽管如此,IQ 调制功能也是可以通过数字的方式实现的,称为数字IQ调制器,在数字侧完成符号映射及IQ 调制,从而得到具有载波的波形,最后经过DAC 直接播放出来。任意波信号发生器(AWG) 产生数字调制信号就是采用这种方式,但是DAC的时钟频率决定了能够输出的最高信号频率。
类似地,模拟IQ 解调器的功能也可以由数字方式实现,称为数字下变频。而且相对于模拟解调器而言,数字下变频应用更加广泛。其基本思路为:射频信号经过下变频至IF 频段,然后经过ADC 直接离散化,对离散的数据作数字下变频便可以得到数字IQ 信号,最后对IQ 数据进一步分析。现在的矢量信号分析仪基本都是采用这个架构,有的矢量信号分析采用示波器及分析软件的方案,也是应用了数字下变频技术,如图6所示,示波器的最大优势就是支持更高带宽信号的分析,这是矢量信号分析仪所远远不及的。

图6. 矢量信号分析架构示意图