时间:2020-05-01 16:55
人气:
作者:admin
电流互感器的主要作用是从大电线(主线)上按照一定比例感应出小电流,供测量和继电保护。
简单的说,就是把需要测量的电线穿过电流互感器,然后电流互感器就会按照一定的比例感应出小电流。我们只需要测量出电流互感器感应出来的小电流,然后乘以对应的倍数,就可以知道大电流。
电流互感器的原理
电流互感器的工作原理和双绕组变压器原理相似,它也是由原线圈和副线圈组成。和电源相连的线圈叫“原线圈”或“一次绕组”,和负载相连的线圈叫“副线圈”或“二次绕组”。电流互感器的一次绕组匝数很少,一般都只是一匝。(比如上图鲜红色粗线就是一次绕组,暗红色的就是二次绕组的输出线)

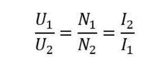
当一次绕组通入交流电流以后会产生交变磁场,交变磁场在铁心的约束下穿过二次绕组。根据电磁感应原理,二次绕组会感应出感应电流。这个电流并符合变压器规则

式中:U1表示一次绕组电压,U2表示二次绕组电压;N1表示一次绕组匝数,N2表示二次绕组匝数;I1表示一次绕组电流,I2表示二次绕组电流。
根据上述公式可知,电流互感器一次电流和二次电流比和线圈匝数有关。而线圈匝数是固定的,所以电流互感器的变比也是固定的,一般都标在电流互感器的铭牌上。
根据国家规范,电流互感器的二次绕组额定电流一律规定为5A或者1A,所以电流互感器的变比也被写成XX/5或XX/1(比如500/5或500/1等)。
比如变比为500/5的互感器,其中500表示一次最大电流,5表示二次最大电流,该电流互感器感应电流缩小500÷5=100倍。同样500/1的电流互感器,其中500表示一次最大电流,1表示二次最大电流,该电流互感器感应电流缩小500÷1=500倍。
电流互感器选用
我们上面说到,电流互感器的二次额定电流一般为5A或者1A。一般情况下,我们优先选择二次额定电流为5A的电流互感器;如果测量仪表或者继电线路距离距离电流互感器较远,那么我们就选1A的电流互感器。
一般仪表在60%量程处准确度最高,所以把计算电流乘以1.3倍就能得到满量程数值。比如母线电流(即一次电流)值为600A,那么一次电流应该选600×1.3≈800A。这样才能保证一次电流在600A时,仪表指针刚好处于60%,即三分之二位置。
下一篇:在线气相色谱仪的操作流程