全球最实用的IT互联网站!
人工智能P2P分享搜索全网发布信息网站地图标签大全
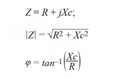
生物电阻抗分析监测疾病的临床状态和诊断
阅读全文2022-08-11
“不锈铁”双张检测方案丨阿童木助力广东某企
微液体流量计在液相色谱仪测量高盐液度液体中
5520A/5500A校准仪使用注意事项
为什么要选影像测量仪的原因
光学影像仪如何选择?
水库大坝实时安全监测特点分析
上海控安SmartRocket PeneCAN渗透测试工具
【虹科新品】HK-MR660系列风力涡轮机的叶片加速度
展会回顾|Aigtek安泰电子第57届高教会之行完美收
替代水浸泡水法,气密性检测仪成产品防
高温热重分析仪是什么
示波器怎么看峰峰值呢?
输出过冲原因及改善措施
CPU | 内存 | 硬盘 | 显卡 | 显示器 | 主板 | 电源 | 键鼠 | 网站地图
Copyright © 2025-2035 诺佳网 版权所有 备案号:赣ICP备2025066733号 本站资料均来源互联网收集整理,作品版权归作者所有,如果侵犯了您的版权,请跟我们联系。