时间:2017-08-29 16:03
人气:
作者:admin
如果您要进行可靠的温度测量,就需要为您的应用选择正确的温度传感器。热电偶、热敏电阻、铂电阻(RTD)和温度IC是测试中最常用的温度传感器。

图1
测温原理:
两种不同成分的导体(称为热电偶丝或热电极)两端接合成回路,当接合点的温度不同时,在回路中就会产生电动势,这种现象称为热电效应,而这种电动势称为热电动势。热电偶就是利用这种原理进行温度测量的,其中,直接用作测量介质温度的一端叫做工作端(也称为测量端),另一端叫做冷端(也称为补偿端);冷端与显示仪表连接,显示出热电偶所产生的热电动势,通过查询热电偶分度表,即可得到被测介质温度。
热电偶是温度测量中最常用的传感器。其主要好处是宽温度范围和适应各种大气环境,而且结实、价低,无需供电,尤其最便宜。热电偶由在一端连接的两条不同金属线(金属A和金属B)构成,如图2所示。当热电偶一端受热时,热电偶电路中就有电势差。可用测量的电势差来计算温度。

图 2
由于电压和温度是非线性关系,因此需要为参考温度(Tref)作第二次测量,并利用测试设备软件和∕或硬件在仪器内部处理电压—温度变换,以最终获得热偶温度(Tx)。Agilent34970A和34980A数据采集器均有内置的测量了运算能力。
简而言之,热偶是最简单和最通用的温度传感器,但热偶并不适合高精度的应用。
常用的热电偶从-50~+1600℃均可连续测量,某些特殊热电偶最低可测到-269℃(如金铁镍铬),最高可达+2800℃(如钨-铼)。

热敏电阻
(1) 测温原理:
热电阻是基于电阻的热效应进行温度测量的,即电阻体的阻值随温度的变化而变化的特性。因此,只要测量出感温热电阻的阻值变化,就可以测量出温度。
目前主要有金属热电阻和半导体热敏电阻两类。
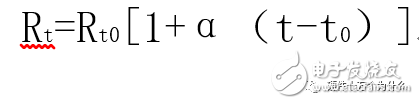
金属热电阻的电阻值和温度一般可以用以下的近似关系式表示,即:

式中,Rt为温度t时的阻值;Rt0为温度t0(通常t0=0℃)时对应电阻值;α为温度系数。半导体热敏电阻的阻值和温度关系为:

式中Rt为温度为t时的阻值;A、B取决于半导体材料的结构的常数。
热敏电阻是用半导体材料,大多为负温度系数,即阻值随温度增加而降低。温度变化会造成大的阻值改变,因此它是最灵敏的温度传感器。但热敏电阻的线性度极差,并且与生产工艺有很大关系。制造商给不出标准化的热敏电阻曲线。

图3
热敏电阻体积非常小,对温度变化的响应也快。但热敏电阻需要使用电流源,小尺寸也使它对自热误差极为敏感。
测量技巧
热敏电阻体积小是优点,它能很快稳定,不会造成热负载。不过也因此很不结实,大电流会造成自热。由于热敏电阻是一种电阻性器件,任何电流源都会在其上因功率而造成发热。功率等于电流平方与电阻的积。因此要使用小的电流源。如果热敏电阻暴露在高热中,将导致永久性的损坏。
电阻温度传感器
与热敏电阻相似,铂电阻温度传感器(RTD)是用铂制成的热敏感电阻。当通过测量电压计算RTD温度时,数字万用表用已知电流源测量该电流源所产生的电压。这一电压为两条引线(Vlead)上的压降加RTD上的电压(Vtemp)。例如,常用RTD的电阻为100Ω,每1℃仅产生0.385Ω的电阻变化。如果每条引线有10Ω电阻,就将造成26℃的测量误差,这是不可接受的。所以应对RTD作4线欧姆测量。

图4
RTD是最精确和最稳定的温度传感器,它的线性度优于热偶和热敏电阻。但RTD是最贵的温度传感器。因此RTD最适合对精度有严格要求,而速度和价格不太关键的应用领域。
测量技巧
使用5mA电流源会因自热造成2.5℃的温度测量误差。因此把自热误差减到最小是极为重要的。
4线测量更为精确,但需要两倍的引线和两倍的开关。
温度IC
温度集成电路(IC)是一种数字温度传感器,它有非常线性的电压∕电流—温度关系。有些IC传感器甚至有代表温度、并能被微处理器直接读出的数字输出形式。

图6
有两类具有如下温度关系的温度IC:
电压IC: 10 mV/K。
电流IC: 1μA/K。
温度IC的输出是非常线性的电压∕℃。实际产生的是电压∕Kelvin,因此室温时的1℃输出约为3V。温度IC需要有外电源。通常温度IC是嵌入在电路中而不用于探测。
温度IC缺点是温度范围非常有限,也存在同样的自热、不坚固和需要外电源的问题。总之,温度IC提供产生正比于温度的易读读数方法。它很便宜,但也受到配置和速度限制。
测量技巧
温度IC 体积较大,因此它变化慢,并可能造成热负载。
把温度IC用于接近室温的场合。这是它最流行的应用。虽然测量范围有限,但也能测量150℃的高温。
实例
LM135235335系列是美国国家半导体公司(NS)生产的一种高精度易校正的集成温度传感器,是电压输出型温度传感器,工作特性类似于齐纳稳压管。该系列器件灵敏度为10mV/K,具有小于1Ω的动态阻抗,工作电流范围从400μA到5mA,精度为1℃,LM135的温度范围为-55℃~+150℃,LM235的温度范围为-40℃~+125℃,LM335为-40℃~+100℃。封装形式有TO-46、TO-92、SO-8。该器件广泛应用于温度测量、温差测量以及温度补偿系统中。详细信息见LM135,235,335.pdf。
AD590是美国模拟器件公司的电流输出型温度传感器,供电电压范围为3~30V,可以承受44V正向电压和20V反向电压,测温范围为-55℃~+150℃,输出电流为223μA~423μA,输出电流变化1μA相当于温度变化1℃,最大非线性误差为±0.3℃,响应时间仅为20μs,重复性误差低至±0.05℃,功耗约为2mW,输出电流信号的传输距离可达到1km以上,作为一种高阻电流源,最高可达20MΩ,所以它不必考虑选择开关或CMOS多路转换器所引入的附加电阻造成的误差,适用于多点温度测量和远距离温度测量的控制。详细信息见AD590.pdf。
数字式温度传感器:
(1) 原理:
将敏感元件、A/D转换单元、存储器等集成在一个芯片上,直接输出反应被测温度的数字信号,使用方便,但响应速度较慢(100ms数量级)。
(2) 实例:
DS18B20是美国Dallas半导体公司生产的世界上第一片支持“一线总线”
接口的数字式温度传感器,供电电压范围为3~5.5V,测温范围为-55℃~+125℃,可编程的9~12位分辨率,对应的可分辨温度分别为0.5℃、0.25℃、0.125℃和0.0625℃,出厂设置默认为12位,在12位分辨率时最多在750ms内把温度值转换为数字。
经验丰富的电路板设计人员将根据最终产品要求来使用最合适的解决方案。表1展示了每种温度传感器的相对优势/劣势。

非接触式温度传感器
|
传感器型号 |
测温范围 |
典型应用 |
|
OTP-538F2S |
-40~+500℃ |
医学(耳温机),家庭设施(吹风机等) |
|
TS105-1 |
-20~100℃(精确度: -0.45±0.08 %/K) |
红外测温仪,非接触温度测量,移动物体温度测量 |
|
TS105-2 |
-20~100℃ |
温度计,微波炉,室内空调,高温计,汽车环境控制 |
|
TS118-1 |
跟处理电路相关(普通-20~300℃) |
无接触温度测量,移动物体温度测量,温度控制,火灾报警 |
|
TS118-3 |
跟处理电路相关(普通-20~300℃) |
无接触温度测量,温度控制,火灾报警,气候控制系统 |
|
TSEV01 |
0~300℃(精确度:0.1℃) |
家庭,医疗,汽车,安全,工业 |
非接触式的温度传感器的优点:
1、由于和被测量介质不直接发生接触,所以不用考虑被接触介质的一些自身物理特性,例如:粘附、腐蚀、磨损等等都不会对传感器造成损害。而接触搜索式的就要面临这些问题的额外解决。
2、受空间局限性较小。对于一些距离较远不易接触到的被测量目标可以远距离测量温度。
3、对于一些不方便接触测量的目标可以实现测量,例如旋转机械、运动中的目标等等
非接触式温度传感器缺点:
1、容易受到环境因素干扰,例如热辐射
2、不容易实现对目标的长期连续测量。

MLX90620远红外线传感器采用非接触温度测量技术,是一种高性价比的热成像解决方案。该16 x 4远红外热电堆传感器阵列可覆盖-20°C~300°C的温度范围,能生成目标区域的实时热值图谱。有了它,就可以不用单点传感器或昂贵的微测热辐射计来扫描目标区域了。
MLX90620远红外线传感器可即获取64幅二维像素图片,大大简化集成热成像系统,从而将价格维持在大批量、低成本应用领域能够接受的范围。该阵列在每个像素中集成了一个放大器和一个模拟数字转换器,可提供0.5-64赫兹的帧速率。在0°C -50°C温度范围内使用时可保持±1.5°C的精确度。有60º x 15º和40º x 10º两个视场可供选择。MLX90620远红外线传感器拥有高速I2C兼容数字界面,采用的是带控制单元的同步化触发模式,可以单独使用,也可以与多台设备组合构成阵列,获得更高的图像分辨率。
远红外线成像正成为汽车行业非常重要的一项技术,能够提高汽车的安全性。MLX90620远红外线传感器可用于车辆的行人探测、近距离盲点探测和乘坐率分类等领域。这种传感器阵列提供的多点精确热图像还能帮助智能楼宇控制系统进行温度测量和入住率统计。在家用环境中,该阵列能够使微波炉和其它传统炉灶更加智能化。人们对能源效率的关注推动了市场对热成像设备的需求不断上升。热成像设备可以探测房间的热损耗情况,并以图像形式指明需要改进的地方。MLX90620远红外线传感器非常适宜于家用和商用低分辨率红外热像仪,能满足上述各任务的需要。在商用环境中,该传感器为智能程序控制和热检测开辟了新的机会。最后,它还能用作智能火灾探测传感器,可帮助消防人员和其他应急服务人员发现热点、探明疏散路线和隐蔽火源。
下一篇:IC封装工艺简介