时间:2012-07-05 14:27
人气:
作者:admin
近来在便携式媒体播放器、笔记型计算机、手机市场中陆续出现的各项令人感到兴奋的电容式感测技术之应用,让人几乎忘了这类界面技术早已广泛地应用于家电用品的设计中许多年了。感测算法与控制电路两方面的重大进展,让这项技术适用于更多的应用领域。设计人员看到了电容式感测技术的价值所在—不仅可取代机械式按键与膜片开关;并可适用于各项新颖的应用,如:触控式屏幕与近距传感器等。
感测电容
电容式传感器是由导体片、接地面、与控制器所构成。在多数的应用中,导体片会用一片铜制电路板,而接地则用灌注填充。这两者之间存在有原生(寄生)电容(CP)。当其它如手指头等导电物体接近传感器时,随着该物体的电容值(CF)增加,系统的电容值也随之增加。(如图1)
要侦测由CF造成电容值增加的方法有好几个。场域效应(Field Effect)量测方法中,在感测电容器与系统参考电容器之间使用交流电分压器。藉由监测电流在分压器上的改变可以感测到手指触碰时所产生的电容值变化。电荷转移(Charge Transfer)则使用切换式电容器电路以及参考总线电容值,重复进行从较小的传感器电容器至较大总线电容器之间的电荷转移步骤。总线电容器上的电压值与传感器电容值两者之间存在着比例关系,因此在固定次数的步骤后量测电压值,或藉由计算达到某一电压临界值所需的步骤次数,来决定该电容值。另外,弛张振荡器(relaxation oscillator)则是用量测充电时间的方法,其中充电速率通常是由固定电流源的值和传感器电容值所决定的。较大的传感器电容器需要较长的充电时间,这部份通常能运用脉冲宽度调变器(PWM)与定时器来进行量测。至于连续近似法(Successive Approximation)也是量测电容充电时间的方法,不同的是当中的起始电压是由连续近似法所决定的。
以PSoC 组件执行的连续近似法(Cypress 申请之专利)采用一组电容对电压的转换器以及单斜率模拟数字转换器(ADC)。其电容值量测方式是先藉由将电容值转换至电压值,接着将该电压值储存于电容器内,然后再利用可调式电流源来量测所储存之电压值。其中电容值对电压值转换器乃是利用切换式电容器技术,此电路系统让传感器电容器可依其电容值反映出对应的电压值。切换式电容器所用的频率则是由PSoC 本身内部的振荡器所产生。
传感器电容器连接到模拟多任务总线上,并利用同样连接总线的可编程电流输出数字模拟转换器(iDAC)进行充电。每个总线上充电电量为q=CV。当SW2 为开路且SW1 为闭路时,跨CX两端的电位势为零,且会减低总线上的电量,所减低的值与传感器的电容值成比例。这种充放电的动作会一直重复,此时传感器电容器也会成为总线上的电流负载。(如图2)
藉由切换式电容器的电路运作,iDAC 就会以二元搜寻法的方式决定出总线上恒定的电压值有多少。该电压值会影响切换式电容器的切换频率、传感器电容值、以及iDAC 的电流值。总线其实也等同于一个旁路电容器(bypass capacitor),可以稳定最终电压。在总线上也可以增加额外的电容器,以调整电路的行为与时序。

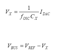
计算所得的iDAC 值接着再度用来对总线充电,并且测量总线从初始电压到比较器的临界电压所需的充电时间。初始电压是在没有手指触碰的情形下,因此充电时间可事先测定。当手指触碰传感器时会增加CX 的值,并且降低初始电压,因此会延长充电时间量测。(如上公式及图3)

下一篇:简单的模拟触控开关电路设计