时间:2023-09-18 09:44
人气:
作者:admin
米勒电容(Miller capacitance)通常用于运算放大器频率补偿的方法中。
在我之前的文章中,我们讨论了运算放大器频率补偿和一种通过并联电容的补偿方法。
目前最广泛使用的频率补偿技术称为米勒频率补偿(Miller frequency compensation),我们将在本文中探讨它。
什么是米勒补偿(Miller Compensation)?
米勒补偿(Miller Compensation)是一种通过在负反馈方式中跨越一个内部增益级(通常是第二级)连接的电容Cf来稳定运算放大器的技术。
使用前一篇关于频率补偿的文章中介绍的图1的PSpice电路,我们得到了图2的幅度/相位图,表明Cƒ的存在导致极点频率分裂。具体地,C f的值越高,极点频率越远,因此中频区域的相移越接近-90°。

图1. 用来绘制的不同米勒补偿量的开环增益幅度和相位的PSpice电路。
图3提供了交叉频率区域的扩展视图,以便于相位裕度的估计视图。
给定一个幅度曲线:
(1)我们确定其交叉频率ƒx在0-dB轴上的位置;
(2)然后我们转向下面的相应相位曲线;
(3)最后我们读取相移的相位φx对。然后相位裕度为φm= 180°+φx。例如,对于Cƒ= 8 pF,对应于Cƒ= 0曲线后的第4条曲线,我们估计φx≈-120°,因此φm≈60°。
相反,我们可以在视觉上对给定φm所需的Cƒ值进行粗略估计,然后通过PSpice使用试错方法来细化Cƒ。例如,对于φm≈65.5°,其标记AC峰值的开始,上述过程产生C f = 9.90pF。测得相应的极点频率为63.4 Hz和12.2 MHz。

图2
图2.图1电路中补偿电容C f的不同值对应的幅度/相位图:0,1 pF,2 pF,4 pF,8 pF,16 pF和32 pF。

图3
图3.图2交叉频率区域的扩展视图。
使用图4的PSpice电路,Cƒ= 9.90 pF来提供米勒补偿,我们得到图5的图,所有图都没有突起的峰值!

图4
图4.用于绘制由R4确定的20-dB步长的闭环增益的PSpice电路。

图5
图5.在Cf = 9.90pF的米勒补偿(Miller compensation)之后图4的PSpice电路的阶跃响应。
在前一篇关于频率补偿的文章中,我们发现制作第一极点需要数十纳法的并联电容。而另一方面,米勒补偿只需要皮法。
怎么会这样?答案是由米勒效应(Miller Effect)提供的。
米勒效应(Miller Effect)是指当电容器从具有大负增益的放大器的输入连接到输出时发生的等效电容的增加。
这个概念如图6所示。

图6
图6.说明米勒效应。
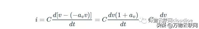
施加的电压v的 响应,如图6(a)所示,电容器C以电流i = C*dv/dt响应;如果我们现在以反馈的方式将相同的电容器C连接到具有增益-av的反相电压放大器,如图6(b)所示,则电流变为:

等式1
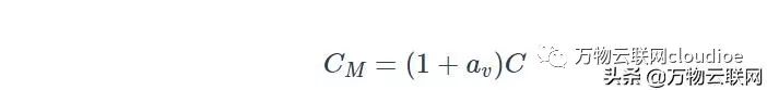
等式1中的量CM被称为米勒电容并且计算如下:

等式
换句话说,反射到输入的反馈电容C乘以1 + av。这使得可以用相对小的物理电容器合成大电容。
参考图4的PSpice电路,我们有:
CM =(1 + Gm2*R2)*Cf =(1 + 250)*9.90pF = 2.485nF
R1看到的总电容为Ctotal = CM + C1 = 2.51 nF,因此主极点频率为1 /(2πR1*Ctotal)= 63.4 Hz,与上面通过PSpice测量的值一致。
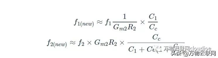
对极点分裂的系统分析超出了本文的范围,但是上面的分析表明通过米勒补偿,新的极点频率与原点ƒ1和ƒ2大致相关。

等式3
其中ƒ1= 1 /(2πR1C1),ƒ2= 1 /(2πR2C2)。由于ƒ2(新)与第二级增益Gm2R2成正比,并且f1(新)与第二级增益Gm2R2成反比,很明显,该增益越大,给定Cƒ的极间距越宽。这是非常需要的,因为具有足够高的增益,给定相位裕度所需的Cf可以保持足够小(不超过几十皮法),因此可以在芯片上制造。此外,较小的Cƒ,运算放大器动态特性越快,因为开环带宽,转换速率和全功率带宽都与Cf成反比。
第一款采用全补偿的集成电路(IC)运算放大器是古老的μA741运算放大器(Fairchild Semiconductor,1968),它使用30 pF片上电容进行米勒补偿。PSpice中可用的μA741宏模型的开环增益特性如图7所示。

图7
图7.绘制μA741运算放大器的开环增益a。
幅度曲线在ƒx= 888.2 kHz处穿过0-dB轴,其中Ph [a] = -117°,相位裕度为φm≈63°。事情好像是μA741在ƒ2= tan(φm)ƒx= 1.743 MHz时具有第二个极点。
在μA741问世之前,所有IC运算放大器都必须由用户进行外部补偿。一种流行的无补偿现代的μA741是LM301(美国国家半导体),它为用户提供三种补偿选项,以满足不同的应用目标:单极补偿,双极补偿和前馈补偿。
尽管μA741提供的补偿灵活性远低于LM301,但mA741的出现频繁,很可能是因为许多用户在没有彻底了解其内部工作原理的情况下解除了提供外部补偿这一令人不快的任务。