全球最实用的IT互联网站!
人工智能P2P分享搜索全网发布信息网站地图标签大全
从锁存器角度看亚稳态发生的原因及方案简单分
阅读全文2023-06-20
关于CRC硬件并行化运算的实现方法的探讨
Verilog中跨模块调用的两种不同方式的优缺点讨论
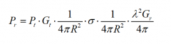
雷达方程与RF链路分析
Formal学习笔记之算法基础学习
嵌入式Linux入门(二、Linux文件系统、文件类型及
如何从SYZ参数提取电容C和电感L—双端口
如何从SYZ参数提取电容C和电感L—单端口
关于C程序中10个与内存有关的常见错误
三段式状态机编写问题及三段式状态机各部分功
51单片机与stm32单片机,先学习哪一个?
新一代嵌入式开发平台 AMD嵌入式软件和工
睿擎派配件上新!4.3寸/7寸MIPI屏、UVC摄像
使用恩智浦FRDM-MCXN947开发板移植触摸屏
CPU | 内存 | 硬盘 | 显卡 | 显示器 | 主板 | 电源 | 键鼠 | 网站地图
Copyright © 2025-2035 诺佳网 版权所有 备案号:赣ICP备2025066733号 本站资料均来源互联网收集整理,作品版权归作者所有,如果侵犯了您的版权,请跟我们联系。