时间:2022-11-24 14:52
人气:
作者:admin
21世纪后,隐身技术的发展促进了各国武器装备竞争的加剧,发展隐身技术,提高武器系统生存、空防和纵深打击能力,已经成为集陆、海、空、天、电磁五位一体的立体化现代战争的迫切需要。隐身技术与星球大战、核技术被美国列为国防的三大高科技领域。而实现对雷达波的隐身,使敌方雷达降低或失去探测能力更是引起了各国的高度关注。雷达隐身的本质就是使敌方雷达无法准确地探测到目标的回波信号。目标的雷达散射截面积(RCS) 表征目标返回到雷达的回波信号幅度。所以,要实现雷达隐身,核心就是降低目标RCS。
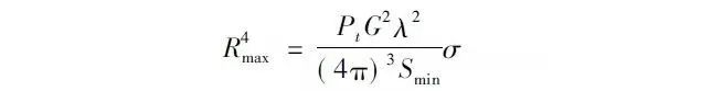
雷达最大作用距离方程:

由公式可知,雷达的探测距离Rmax的四次方与目标的散射截面积σ 成正比。若要减少雷达的探测距离,必须降低目标自身RCS。降低目标RCS实质就是降低目标的回波功率或散射波电场强度。RCS与照射功率、飞行器离雷达距离远近无关,只与目标表面导电特性、结构、材料、形体和姿态角等有关。所以,雷达隐身可以通过改变目标的外形、材料结构和电磁特征来实现。实现方法通常有两种:一是采用外形设计、吸波或透波材料等,降低反射功率; 二是产生与散射场相干但相位相反的场,实现有( 无) 源对消。

雷达隐身技术
雷达隐身技术是通过降低目标RCS实现隐身的技术,常用手段有外形隐身技术、材料隐身技术、电子干扰和欺骗技术、阻抗加载技术等。
1、外形隐身技术
外形设计是实现武器装备隐身的最直接、最有效的方法。外形隐身技术的实质是将目标的强反射源转换为弱反射源,即通过改变目标的外形设计,在一定角度内增强目标的反射或折射效应,减小RCS。常见的强反射源有飞机边缘、尖端,机体上的凸出物、外挂物; 导弹的头部、尾部和翼面不连接处; 舰艇的船体和甲板边缘等。美国AGM-129隐身巡航导弹通过采用特殊隐身外形和隐身结构消除了强反射源,减弱了雷达波的散射强度。
2、材料隐身技术
由于目标受到空气动力等因素限制,外形设计也只能实现装备一定程度上的隐身,材料隐身技术能有效弥补其不足。材料隐身技术按工作原理可分为三种类型: 一是材料吸收雷达波后,以能量损耗的方式使电磁能转换为热能而散发; 二是使雷达波迅速分散到装备全身,降低目标散射的电场强度;三是通过材料上下表面的反射波迭加干涉,实现无源对消。吸波材料通常分为涂料型和结构型: 涂料型涂于目标表面形成吸波涂层,结构型是参与结构承力的、有吸收能力的复合材料。透波材料几乎能完全透射雷达波,进而降低目标RCS。据报道,F-117A隐身战机大量使用了多面体外形设计和雷达吸波材料等隐身手段,其RCS比常规战机减少了23 dB,使常规雷达作用距离缩减73%
3、电子干扰和欺骗技术
电子干扰技术实质是产生与目标或敌方雷达相似的特征信号,使其无法做出正确判断而实现目标隐身。常见的技术手段有:向空中投放箔条等干扰物形成干扰层以遮盖真实目标; 利用电子干扰设备发射噪声或类似噪声的干扰信号,使敌方雷达无法检测目标信息; 由侦察设备侦测出敌方雷达频率,并以该频率发射回波脉冲,使敌方雷达无法做出正确判决; 采用假目标或雷达诱饵技术,发送虚假信号误导敌方等。据报道,美国正在研究一种能发射高频( VHF) 、特高频( UHF) 和微波信号的新型诱饵,该诱饵也可模仿隐身飞机目标。
4、阻抗加载技术
阻抗加载可以分为无源阻抗加载和有源阻抗加载。无源阻抗加载是指通过在飞行器表面形成缝隙、腔体或加周期结构无源阵列等方法改变蒙皮表面的电流分布,从而降低一定角度范围内的电磁散射。有源阻抗加载是指在飞行器上安装转发器等信号处理元件,使其可发射与入射雷达波幅度相近而相位相反的电磁波,实现目标散射场和雷达辐射场在敌方雷达探测方向上相干对消。
雷达隐身技术性能分析
雷达隐身技术的巨大价值引发了雷达反隐身技术的出现和发展,认识并改进雷达隐身平台的性能缺陷已成为各国隐身武器发展的主要方向。不同的雷达探测角度所观测到的目标RCS值差距很大:飞机、导弹的机头或弹头方向RCS最小,原因是优化了外形设计和应用了新型材料; 两侧和尾部RCS较大,原因是侧面机翼或弹翼棱边的散射增强和垂尾的镜面反射、红外辐射等; 其RCS 最大差距达到30 dB,说明了隐身平台只能实现部分空域隐身。

F-22 RCS的分布
目前雷达波隐身武器存在的缺陷和应对的反隐身技术有:
1、隐身空域小:隐身武器不能实现全空域、全方位隐身,从不同角度俯视或仰视时目标的RCS相对较大。可采用雷达组网技术、预警机探测技术等实现反隐身。
2、隐身频段少:一般的隐身武器主要针对厘米波段雷达,频段相对单一,不可能实现全频段上的隐身。可采用米波雷达、毫米波雷达、超视距雷达等实现反隐身。 3、红外辐射高:隐身武器由于高速运动需要强大的动力支持,发动机的尾喷管由于喷射大量的高温气流而产生红外辐射,降低其隐身性能。可采用激光雷达实现反隐身。
4、通信信号多:隐身武器需要与指挥控制系统、支援装备等保持通信联络,大量的通信信号极易暴露自己。可采用无源射频探测系统实现反隐身。
雷达隐身技术发展趋势
1、发展全波段隐身技术
全波段隐身是通过不断增加激光、可见光、红外、雷达波等隐身波段逐步实现的。目前,雷达隐身技术主要针对厘米波雷达,但雷达反隐身技术的发展促进了米波雷达、激光雷达、红外雷达等多波段雷达的广泛应用,因此,实现装备的全波段隐身显得越发重要。美、德和瑞典等国研制的多波段隐身材料,其研制水平已达到可见光、近红外、中远红外和雷达毫米波四段兼容。据称,美军第五代战斗机将采用隐身效果更好的全波段隐身技术。
2、研发新型材料
目前,复合型材料、纳米材料和智能材料已成为雷达隐身材料研究的一个重要方向。 1) 复合型材料是由多层不同功能的隐身材料叠加而成的新型材料,一般上层为隐身涂层,下层为雷达吸波材料等。近年来,复合型材料继续朝着实现多层法和均相法二者结合的方向研发。据报道,法国研制成功一种由粘结剂和纳米级微屑填充材料复合的宽频吸波材料,其在50 MHz ~ 50 GHz频率范围内吸波性能良好。 2) 纳米材料是特征尺寸处于纳米量级的材料。该材料因结构独特而具有良好的吸波特性,并兼有高吸收、涂层薄、质量轻、吸收频带宽、红外微波吸收兼容等特点,是一种极具发展前景的隐身材料。目前,该技术已经受到美、法、英等军事大国的高度重视。据报道,美国研制出的超黑粉纳米材料对雷达波吸收率达到99% 3) 智能材料能通过感知和分析敌方雷达探测信号自动调节武器电磁波与光学特性,以实现目标隐身。美国空军提出将不同导电率的多层薄膜连结在一起,获得在功能上与分层介质吸波涂层类似的蒙皮结构,并将各种机载电子装置、传感器等嵌入蒙皮内以取代传统的雷达天线,从而构成智能蒙皮。
3、发展等离子体隐身技术
等离子体隐身技术实质是通过入射雷达波作用于等离子体时的反射效应和衰减效应实现目标隐身: 即当雷达频率小于等离子体频率时发生反射效应,雷达显示屏只能显示虚假目标信息; 当雷达频率大于等离子体频率时,雷达波进入等离子体发生吸收衰减效应,进而降低目标RCS。据报道,俄罗斯前两代( 第三代已用于T50 战机) 等离子体隐身产品已经进行飞行和地面试验,可将雷达发现概率降低99%。
4、发展射频隐身技术
射频隐身技术是指机载雷达、数据链等机载电子对抗设备抵御敌方射频无源探测、跟踪、识别的隐身技术。在现代化战争中,敌方电子探测系统能通过截获我方隐身平台雷达、通信等发射机的电磁辐射信号,运用测频测向、定位、信号识别等处理方法获取我方的身份属性和地理属性,如辐射源的有关参数、类型、空间位置等。因此,发展针对敌方射频探测系统的射频隐身技术已成为现代隐身武器设计中极为重要的因素。据报道,F-22装备了具有良好射频隐身能力的APG-77 雷达,F-35应用了具有低截取概率和低探测概率的多功能先进数据链系统。
编辑:黄飞