时间:2022-12-06 11:25
人气:
作者:admin
相信大多数人都知道无人机也非常想亲身体验一下无人机的操作,我们生活中看到的无人机更多用来航拍娱乐,但其实我们看影视剧也可以发现无人机可以用于监测敌方或者军事上,同时无人机也可以与射频技术结合用于科研。今天要给大家介绍的就是可用于无人机高度测量的毫米波雷达微带天线的设计与实现,该实验项目通过完成该天线的自主设计、仿真、优化、制作和测试的过程, 能让大家更多的了解无人机里面的技术原理。
1、天线指标要求
无人机高度计雷达不需要测障碍物方位角,只需要把距离最近的障碍物的距离信息测量出来即可,所以可以采用单发单收形式。结合无人机的应用场景和 K 波段毫米波雷达主流射频芯片的指标,实验项目中所设计的天线指标如下:
●工作频率: 24 GHz ~24. 25 GHz;
●工作频率范围内的驻波比: ρ 小于 1. 5;
●增益: 大于 10 dB;
●E 面副瓣电平: 小于 -18 dB;
●E 面半功率波束角: 小于 30°。微带天线具有剖面低、体积小、重量轻、易共形、可集成化等特点,各种不同形式的微带阵列天线被广泛应用于毫米波雷达 。
2、实验过程
整个实验的设计过程,首先要根据具体指标选择合适的板材,然后是对天线尺寸、馈电等的初步设计,再利用仿真软件进行辐射单元建模仿真和阵列设计,最后是实物加工和测试。
2.1 板材选择
PCB 板材择主要考虑三个因素: 板材厚度 h,相对介电常数 ε r ,正切损耗 tanδ。板厚一般小于0. 1λ 0 ,出于增加工作带宽的考虑,一般选择较厚的板材,但如果板材过厚,会影响天线辐射效率。此外,相对介电常数越低,工作带宽越大。Ro4350b 板材是 K 波段天线的常用板材,电路设计推荐参数为: 相对介电常数 3. 66,正切损耗 0.004,板厚选择 0. 508 mm。
2. 2 辐射单元设计
(1) 天线单元的尺寸理论计算
确定板材后,首先要确定辐射单元的尺寸,其长宽值可由下列公式( 1) 和( 2) 得到。矩形微带贴片单元的宽度为 W:

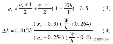
式中 f r 为中心频率,c 为光速。考虑到辐射贴片的边缘效应,矩形贴片单元的长度为 L:

上式中 ε e 为有效介电常数,ΔL 为末端效应长度,它们由下列公式( 3) ( 4) 求得。

(2) 馈电方式选择
馈电方式选择微带线侧馈方式。在馈线与辐射单元接触点处开两个矩形槽,用于阻抗匹配,如图 1( a) 所示,矩形槽深度 L 1 约等于贴片长度的三分之一,宽度 W 1 通过优化得出。(3) 辐射单元仿真利用 HFSS 软件建立仿真三维模型,辐射单元三维模型如图 1( b) 所示。一般情况下初始仿真结果与设计指标都有偏差,需要分析偏差原因,进行参数调整。通过仿真优化,得出: W = 3. 7 mm,L = 3mm,W 1 =0. 32 mm,L 1 =0. 76 mm。

图 1 辐射单元输入端口驻波比和反射系数
仿真结果如图 2 所示,从仿真结果可知,在 24. 125 GHz 处的 S 11 参数为-39. 64 dB,驻波比为 1. 02; 在 23. 75 GHz ~24. 49GHz 驻波比小于 1. 5,满足要求。辐射单元的方向图仿真结果如图 3 所示,单元增益为 6. 83 dBi。对比设计指标和辐射单元的仿真结果,可以看出单天线增益和波束宽度均无法满足设计要求,需要用天线阵列来完成设计。

图 2 辐射单元输入端口仿真结果

图 3 辐射单元方向图仿真结果
2.3 天线阵列设计
(1) 天线形式确定
天线半功率波束宽度由下式( 5) 求得

上式中,λ 0 为中心频率处的真空波长; f x 和 σ x为波束展宽因子; d 为辐射单元间距; N 为辐射单元数,α m 为最大辐射方向与平面阵元之间的夹角。为满足单元副瓣抑制条件,单元间距 d 必须小于波长λ 0 ,适当缩小单元间距可以更好实现阵列天线的小型化,相应的会增大波束角,所以单元间距 d 选择 6mm。根据天线指标 E 面半功率波束角小于 30 度,算得 N 需要大于 3. 52。结合仿真所得的单个贴片单元的幅度方向图增益和天线指标增益要求,辐射单元数至少有 4 个。综合考虑这两点,可选择 4 元辐射单元。此外,为抑制副瓣,辐射单元的馈电幅度采用泰勒加权的方式。根据天线指标副瓣电平小于 - 18dB,为保留设计余量,将副瓣电平 SLL 设为 - 20dB,算得泰勒权值为 I 1 : I 2 等于 1: 0. 6339。
(2) 馈电网络设计
阵列天线示意图如图 4( a) 所示,根据该示意图可以画出右边两个辐射单元和馈电网络的等效电路,如图 4( b) 所示,其中 Y 0 为辐射单元输入导纳,Z c0 为微带线特性阻抗,Z c1 和 Z c2 为 90°电长度阻抗变换器的特性阻抗,Y 2 ’和 Y 2 为节点处输入导纳,I 1和 I 2 为两个辐射单元的电流幅度。

图 4 天线阵示意图
(3) 阵列天线仿真
按照图 4( a) 的天线示意图进行建模,得到阵列天线三维模型如图 5 所示。

图 5 天线阵 HFSS 模型输入端口
仿真结果如图 6 所示,在中心频率24. 125 GHz 的 S 11 参数为 - 34. 46 dB,驻波比为 1.04; 在24 GHz 和24. 25 GHz 频点上的驻波比分别为1. 24 和 1. 22,满足设计要求。

图 6 天线阵输入端口仿真结果

图 7 天线阵方向图仿真结果
天线在 24. 125 GHz 上的方向图仿真结果如图7 所示,增益为12. 12 dBi,E 面副瓣电平优化后达到-18. 35 dB,E 面 - 3dB 波束宽度为 27°,H 面 - 3dB 波束宽度为 68°,满足设计要求。
2.4 天线加工与测试天线仿真完毕后,用 AD09 软件制作 PCB 工程文件,即可加工制版,学生设计完成的一个天线实物如图 8 所示。输入端口采用 2. 92 mm 的射频接头,探针直径为 0. 3 mm。

图 8 天线实物
测试包括天线驻波比测试和方向图测试两部分。其中,驻波比测试是利用矢量网络分析仪完成,天线方向图测试,需要在微波暗室内进行,成本较高而且耗时很长,因此测试时应选择个别仿真和反射系数结果较好的天线进行测试。图 8 对应的学生设计出来的天线端口测试结果见表 1 和图 9,从图中可见在工作频率范围内,天线输入驻波比均在 1. 5 以下,满足要求。表 1 高度计天线输入端口测试结果


图 9 天线驻波比 S 11 参数实测结果
该天线实测方向图如图 10 所示,在 24. 125GHz 处,E 面 - 3 dB 波束角为 28°,副瓣电平为 -18. 94 dB; H 面 -3 dB 波束角为 65°,达到了设计要求。图 10 天线实测幅度方向图3 结语在教育部当前开展新工科研究与实践的背景下,今天给大家开展了射频电路设计创新实验项目的探索,开发了用于无人机高度测量的毫米波雷达天线的设计实验项目。该实验紧跟科学领域发展前沿,内容涵盖的知识点多,将微波技术、射频电路和天线原理等方面的知识有机融合,通过一个完整而又系统的设计过程,模拟解决实际工程问题的研发步骤,让大家获得更多的探索体验,具有很好的应用价值。
编辑:黄飞