时间:2022-05-11 11:03
人气:
作者:admin
0引 言
随着无人机系统安全性、智能化、续航以及载荷能力等方面的不断完善和提升,其在警务工作中的应用越来越广泛,特别是在现场勘查、维稳安保、应急处突、道路交通管理等工作中已经发挥了积极的作用。无人机摄影为解决野外、火灾、爆炸等特殊现场的方位照相、概貌照相提供了新的手段,通过搭载红外热成像、三维数据采集等模块进行非可见光成像检验和现场三维重建的研究也日趋成熟。本文通过实验研究是用无人机载高光谱成像系统发现和识别室外沥青道路表面血液痕迹的可行性和准确性,为无人机在现场勘查中的应用提供新的方法和思路。
1材料与方法
1.1 样本制作
将人体血液、红色水性金属漆和酱油滴撒于沥青混凝土铺面道路表面,分别形成面积不同的样本痕迹(如图1),样本的种类和斑迹尺寸见表1.其中,人体血液斑迹12块,尺寸最大为20x50cm,最小为2x2cm;红色油漆斑迹4块,尺寸最大为20x50cm,最小为10x20cm;酱油斑迹3块,尺寸最大为30x30cm,最小为10x15cm。样本制作完毕后,在自然条件下放置6h左右。
图1 实验现场样本分布图
表1 各实验样本尺寸

1.2 数据分析方法
使用软件对采集到的原始光谱影像数据进行辐射亮度校正和反射率计算,计算公式如下:

式中,Reflectanceobject为消除大气、水汽等因素影响后其他目标的反射率,Radianceobject为其他目标的辐射亮度,Radiancereference为灰板区域平均的辐射亮度,Reflectancereference为经过国家计量认证定标的反射率。
使用光谱角制图(SAM)算法对数据进行分析处理。SAM是基于计算N维光谱向量夹角的一种光谱分类算法,将每个像素点上的光谱曲线按照光谱波段数N定义为N维向量,通过计算目标像素的光谱向量与参考光谱向量在向量空间夹角的大小,来确定二者类别的相似性。此算法需要基于反射率数据,对光照条件和反照率效应不敏感,但需要提供参考光谱作为训练样本,通过设置最大夹角的阈值可调节分类的严苛程度,公式为:

α为两个光谱向量之间的夹角,即光谱角。α的取值范围在0~90°,其值越小,代表测试光谱向量与参考光谱向量的相似性越高,光谱角的大小只和光谱矢量方向有关,与其辐射亮度无关。
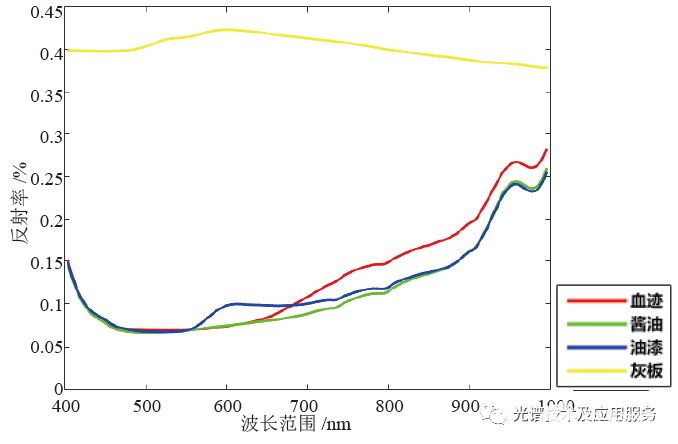
2结 果使用ENVI 5.1软件中感兴趣区域(region of interest,ROI)功能的矢量选择工具,分别对人体血液、红色油漆、酱油和灰板区域进行取样,不同样本平均光谱曲线如图3所示。人体血液、油漆、酱油的反射率光谱差异主要体现在600~800nm波段范围,其中尤其在红光范围内的反射率显著高于另外两种样本,但是在近红外范围内与酱油较为一致;血液在可见光范围内与酱油差异不大,但是在近红外范围内的反射率明显高于另外两个样本。在光谱角制图计算过程中,选择单值模式,阈值角度的最大值设为0.1弧度,分类结果如图4所示,能够识别人体血液痕迹最小面积为4x4cm

图2 不用样本平均光谱曲线图
图3 分类后效果图
(红色区域为人体血液,绿色区域为酱油,蓝色区域为油漆)
3讨 论无人机飞行高度是光谱影像数据采集过程中的重要技术参数。为了提高痕迹物证的发现率,降低飞行高度是最直接和简单的方法,然而,在现场使用无人机时,应尽量避免旋翼产生的气流扰动地面物体,以防破坏痕迹物证原始状态甚至造成微量物证丢失,同时,现场周围的建筑物、空中障碍物等都可能对飞行高度的设定产生影响。本文实验中,飞行高度设定为 30 m,相应的光谱相机空间分辨率为 13mm。实验结果表明,本文中飞行高度的设定满足发现和识别实验样本的需要,在以后的实际应用和研究工作中,飞行高度尚有降低的空间,以提高无人机载高光谱成像系统发现和识别人体血液等痕迹物证的能力。
光谱成像系统的数据分析处理算法是光谱成像技术区别于其他刑事影像技术的特点和优势,其输出的检验结果也是评价识别能力最直观的依据。为丁消除光照强度.大气.水汽等因素对高光谱影像数据产生的影响,本实验中,在拍摄区域放置了经国家计量院标定过的灰板,用以进行光谱辐射校准。本文中使用了SAM算法对光谱影像数据进行分析处理,结果表明此算法在光谱一致性、分类准确度等方面具有较好的表现。下一步将继续使用更多的光谱影像数据算法对实验数据进行分析和处理,通过比较输出结果,选择满足现场勘查工作需要的算法,开发专用软件系统,提供给基层实战单位。
本次实验中,由光谱成像系统视场角(16°)、飞行高度(30m),计算可得扫描拍摄幅宽约为 8m,飞行速度13m/s 条件下,采集地面光谱影像数据的效率为 10.4m,搭载高光谱成像系统的无人机,去除无人机转向时间和不同扫描条带之间 30%重叠率等影响因素后,无人机单次起降可获取12 000扫描区域的光谱影像数据。通过安装在移动终端的光谱影像数据处理系统,可以现场实时分析所采集到的数据,达到秒级响应速度。由此推算,实际办案中使用无人机载高光谱成像技术,可以在 30 min 内准确获得不少于10 000 m 犯罪现场血液痕迹分布状态的检验结果,能够有效提高现场勘查效率。
本次实验结果表明无人机载高光谱成像技术在现场发现血迹等痕迹物证方面具有很高的应用价值和研究潜力。本文的研究还存在很多不足之处,比如,血液浓度或血斑厚度等因素对检验结果的影响,还需要设计进一步实验研究上述问题。另外,如何快速准确地区分人体血液斑迹与动物血液斑迹是刑事技术领域的热点研究方向,已经在实验室开展了应用光谱成像技术检验区分人体血液斑迹与鸡血、蛇血、鱼血等动物血液斑迹的初步研究,正在解决光谱特征筛选、分析算法开发和检验能力验证等方面问题,尝试为实际案件提供一种新的检验方法。
同时也对裸露的土壤表面的血液痕迹进行了初步试验研究。结果表明,本文提出的方法能够发现土壤表面血液痕迹,下一步将针对土壤成分、硬度、干湿度、环境条件等可能影响检验结果的因素进行系统实验。另外如何发挥无人机载高光谱成像技术在林区、草地、农田等多种自然环境下现场勘查的应用能力,也是继续研究的方向。
4结 论本文研究了使用无人机搭载全息反射光栅型高光谱成像系统采集室外沥青混凝土铺面道路表面血液等痕迹光谱影像数据的方法,使用光谱角制图算法分析光谱影像数据,发挥了光谱成祥无损、实时、高灵敏度的优势以及无人机快速、灵活、机动的特点。实验结果证明了无人机载高光谱成像系统在室外现场发现和识别血液等痕迹物证方面具有较大的应用潜力,拓展了无人机和光谱成像技术在现场勘查中的应用范围。
推荐:
莱森光学-多旋翼无人机高光谱成像系统iSpecHyper-VM系列是一款基于小型旋翼无人机的高性能机载高光谱成像系统。
莱森光学-多旋翼无人机高光谱成像系统光谱范围400-1000nm/900-1700nm,由高性能高光谱相机、稳定云台、高清相机、GNSS模块、机载控制与数据采集模块、机载供电模块、地面站模块等部分组成。核心载荷高光谱相机完全自主研发,采用1英寸大靶面CCD图像传感器具有高光谱分辨率、高灵敏度、大视场及优异的成像性能,配合定制开发的高性能稳定云台,能够有效降低飞行过程中无人机抖动引起的图像扭曲与模糊;同时与GPS同步触发,实现可见光照片匹配同步GPS信息;通过地面实时数据平台实时观测飞行器采样点并可利用地面端设置采集的航线预览及矫正功能;有辐射度校正、反射率校正、区域校正等批处理能力。辅助相机可实时可见、监控拍摄效果,有图像实时回传功能;有辐射度校正、反射率校正、区域校正等批处理能力,光谱相机控制、数据采集、自动曝光、自动扫描速度匹配、辅助摄像头功能、支持远程遥控、支持巡航、惯导采集模式,数据支持Envi等主流遥感软件,实时常用植被指数计算功能、光谱及图像数据预览、建库、建立指标解译库等功能。
莱森光学-多旋翼无人机高光谱成像系统与大疆M600 pro/M300RTK无人机完美适配,支持同类型的多种无人机;系统支持配件升级及定制化开发,为教育科研、智慧农业、林业调查、水环境监测、目标识别、军事反伪装等行业高端应用领域提供高性能解决方案。
莱森光学- iSpecHyper-VS系列高光谱成像相机/便携式高光谱成像系统
莱森光学-iSpecHyper-VS系列高光谱成像相机是莱森光学(LiSen Optics)专门用于公安刑侦、物证鉴定、精准农业、矿物地质勘探等领域的最新产品,主要优势具有体积小、帧率高、独有高光通量分光设计、信噪比灵敏度高、大靶面探测器、高像质等特点。iSpecHyper-VS采用了透射光栅外置推扫或内置原理高光谱成像,系统集成高性能数据采集与分析处理系统,高速接口传输,全靶面高成像质量光学设计,物镜接口为标准C-Mount,可根据用户需求更换物镜。iSpecHyper-VS系列高光谱成像相机,广泛应用于公安刑侦、物证鉴定、精准农林、遥感遥测、 工业检测、 医学医疗、采矿勘探等各领域。
莱森光学-iSpecHyper-VS系列高光谱成像相机/便携式高光谱成像系统主要技术特点
光谱范围400-1000nm或900-1700nm,分辨率优于3nm
独有高光通量分光成像设计、信噪比灵敏度高
高性能CMOS/CCD/InGaAs(TE Cooled)图像传感器,数据格式支持ENVI,支持多区域ROI
可选配电控自动对焦技术、自动曝光、自动成像扫描匹配
全靶面高成像质量光学设计,点列斑直径小于0.5像元
多种焦距物镜镜头(12.5/25mm/35mm/75mm)可根据用户需求更换物镜
多种光学附件可选:户外太阳光源、实验室太阳匀化光源工作台、三脚架(野外专用)、数据线、电源线、电源(外置电源模块)、仪器便携式手提箱(定制三防箱)、专业高光谱采集软件
莱森光学- iSpecField-系列手持式/便携式地物光谱仪
莱森光学-iSpecField系列地物光谱仪是莱森光学(LiSen Optics)专门用于野外遥感测量、土壤环境、矿物地质勘探等领域的最新明星产品,由于其操作灵活、便携方便、光谱测试速度快、光谱数据准确是一款真正意义上便携式地物光谱仪。iSpecField系列地物光谱仪光谱范围250-1100nm/250-1700nm/250-2500nm,采用了工业级触控显示屏手柄探头,手柄探头同时采用了独有光学设计内置摄像头(相机)、GPS、激光指示器、内置光学快门控制,同时地物光谱仪主机与工业级触控显示屏手柄探头一体化设计,可野外现场直接进行地物光谱操作测量,野外操作更加便捷方便,非常适合复杂的野外地物光谱测量。
莱森光学-iSpecField系列地物光谱仪主要技术特点
光谱范围250-1100nm/250-1700nm/250-2500nm,固定全息光栅一次性快速扫描分光
2048像素面阵BT-CCD,256/512像元InGaAs,高像素双路探测器同步测量,光谱精度高、分辨率高
主机与工业级触控显示手柄探头一体化结构,野外测量无需额外电脑,操作灵活
最短积分时间30微秒,测量动态范围大,7吋高清触控显示远程触发一键测量
内置>800万像素自动对焦摄像头(相机)、GPS、激光指示器、内置光学快门控制
GPS定位、地物图像、角度测量、距离测量、空气温湿度测量与光谱实时对应同步
SpecAnalysis专用地物分析软件,兼容ENVI、TSG、Arcgis等第三方工具软件,嵌入了USGS数据库和NDVI等13个植被指数
丰富测量光学配件:标准白板/灰板、叶片透射夹、矿物土壤专用探头、手枪式光纤探头、室内太阳光源、视场角镜头、BRDF测量附件、透反射实验室支架装置、远程触发器等可满足野外和实验室测量需求,可实现透射反射率、辐照度、辐亮度等测试
大容量电池,续航时间4-5小时,供电电池模块可拆卸,可配置备用电池模块,满足长时间野外测量
莱森光学(深圳)有限公司是一家提供光机电一体化集成解决方案的高科技公司,我们专注于光谱传感和光电应用系统的研发、生产和销售。
上一篇:无人机在景观生态学上的应用和发展