时间:2021-11-16 10:51
人气:
作者:admin
基于知识图谱的直升机飞行指挥模型研究
人工智能技术与咨询 昨天
本文来自《无线电工程》,作者齐小谦
摘 要: 针对当前直升机飞行指挥效率低下、数据关系复杂和智能化层次低等问题,提出了基于知识图谱的直升机飞行指挥模型研究方法。使用知识图谱生成和展现等技术,对直升机飞行指挥专业领域的知识资源进行了深入分析与整合。将有价值的数据资源提炼成知识图谱,以图形化方式向用户展示经过分类整理的结构化知识,支持知识检索、知识可视化和知识推荐等应用服务。应用结果表明,该技术模型能够使指挥员、参谋直观准确定位和深度获取专业知识,增强了系统思维能力,能够促进直升机飞行指挥信息系统的革新。
关键词:飞行指挥;知识图谱;知识推荐;关联分析
0 引言
直升机飞行指挥是借助无线通信,为保证机群、编队按预定计划飞行、完成任务要求而进行的对空指挥业务活动。该技术领域专业性较强,覆盖知识面广泛,数据关系复杂。指挥机构均已配备基础的业务平台等系统,能够支持互联互通级的基本信息交互,但是智能化程度普遍较低。相关的知识库缺乏层次性和逻辑性,推理能力薄弱,语义表达不直观,关联关系不清晰,知识定位困难[1]。同时,有限的数据理解能力和不断增长的数据规模之间形成鸿沟,不能适应信息流通快、反应时效高和节奏转换频繁的应用模式,成为制约直升机飞行指挥技术发展的瓶颈[2]。因此,亟需运用知识图谱等智能化技术,通过知识抽取和知识融合等方式,建立新型数据服务机制,实现飞行指挥领域知识的关联、整合与可视化,为指挥决策提供高效服务。
知识图谱是结构化的语义知识库,将不同种类信息连接在一起而得到一个关系网络,提供了从“关系”角度去分析问题的能力。现有的知识图谱多为共用领域,在特定(语种、领域和主题等)数据集上取得较好效果,如百度知心、搜狗知立方等。专业性较强的领域尤其是直升机飞行指挥相关的知识图谱并没有构建与展示,隐藏在分析处理过程和指挥或参谋人员头脑中,没有持久化存储,资源深度利用还有很大潜力可挖[3]。构建“资源可视可控、业务关联推荐、方案快捷生成”的直升机飞行指挥知识图谱,使指挥、参谋人员之间共享领域知识[4],能够遵循行为规律开展飞行指挥活动,发挥知识成果的价值。
本文从知识图谱构建的视角,对知识图谱的内涵与专业技术领域的知识资源整合进行了深入分析,研究了构建直升机飞行指挥模型概念网络的方法[5],面向知识检索和知识推理等应用,按照策略自动推理搜索特情处置方案、计算生成引导指令,并以“直升机飞行指挥应用系统”知识推荐能力的设计实现为例,给出了成果形态和运行场景,实现飞行指挥业务平台由“功能型”向“知识型”转变[6]。
1 总体设计
长期的飞行训练、复盘总结积累了大量经验教训,但是指挥决策方式、飞行活动过程不可能反复试验,大规模的数据资源需要按照结构化、层次化、模型化的要求进行组织和整理。面向跨时空、多域实体和多任务等不同维度的指挥信息表示和理解需求,将多方传递的指挥行动等信息进一步组织和抽象,符合指挥专业活动的语义和逻辑。将现有若干个功能点进行关联组合,构建面向任务全过程、全要素的以知识为中心的飞行指挥模型[7]。
知识图谱是解决军事数据分析利用的关键技术,知识图谱本身是将大量具有多种属性的实体通过关系链接而成的网状知识库,在本质上是一种概念网络,其中的节点表示物理世界的实体(或概念),而实体间的各种语义关系则构成网络中的边。本文通过“直升机飞行指挥领域本体”整合已有的数据资源,对专业数据的主体、场景、行为和层级等要素进行建模[8],从而实现术语、标准和数据库等相关资源的相互关联和系统组织,形成以语义网络为骨架的知识图谱,支持可视化、智能化的知识服务。
在对直升机飞行指挥知识融合与图谱构建方法研究中,各种异构数据源知识库中实体含义的不确定与关联关系冗余等现象是关键问题,影响着知识图谱构建的整个过程[9]。本研究主要应用知识抽取、知识融合、知识推理和知识可视化等关键技术,把复杂的专业领域知识转换为经过分类整理的结构化知识[10],展现专业领域的动态发展规律,为技术创新提供切实、有价值的参考。
知识抽取:主要从多源飞行训练与领航引导等大数据中抽取和识别知识单元,包括概念本体、对应关系以及属性3个知识要素,并以此为基础形成一系列高质量的行为表达。知识抽取自动从结构化、半结构化和非结构化的飞行训练资源数据中抽取概念本体、属性及关系。
知识融合:属高层次知识组织方式,使来自不同知识源的信息在同一框架规范下进行异构数据整合、消歧、加工和推理验证等,达到数据、信息、方法、经验以及人的思维的融合,形成高质量知识库,主要包括实体配准和知识合并。实体配准主要对来自不同数据中不同标识实体的语义理解,关联到同一概念上,实现对同名、多名和缩写等多种实体语义的消歧和共指消解。知识合并主要对新抽取的知识与实体库进行实体、关系和属性关联,排除概念实体和属性等冲突,通过计算字符串相似度、词典语义相似度等方法实现匹配和合并。
知识推理:采用基于图或逻辑的推理方法,在已有概念知识库和装备参数库的基础上进一步挖掘隐含知识,应用关联规则的支持,从而丰富和扩展知识库。知识推理对象可以是本体、本体属性、本体间关系和关联本体库中概念层次结构等[11]。对于推理规则的挖掘,主要关注实体以及关系间的丰富同现情况。推理功能通过可扩展规则引擎实现,规则包括2大类:针对属性的规则,即通过数值计算获取其属性值;针对关系的规则,即通过链式规则发现本体间隐含关系。
知识可视化:为了使指挥或参谋人员更有效地与数据交流,更好地理解和获取数据背后的信息与知识,进行大规模知识图谱的可视化工作是一种有效手段。专业领域知识图谱数据的展现,不能像以往一样仅适用一个图表就能独立表达出所有信息,而是要让用户与数据交流,通过知识图谱数据信息的传递、联动,从多方面来交互式地分析和查看数据,从而方便用户控制数据。本研究使用eChartGL等方式,实现快速专业的知识图谱呈现效果。
2 知识图谱构建
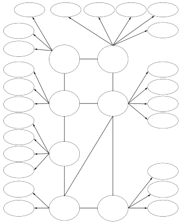
本文将知识图谱设计成一张大图,如图1所示,节点表示领域本体,边则代表本体之间的语义关系。将各种琐碎、零散的知识片段组织起来,呈现领域概念之间错综复杂的关联关系,支持知识检索、知识问答、知识推荐和知识可视化等多种应用[12]。

图1 知识图谱规划
领域本体主要规划了“应用本体”和“基础词库”两大部分。应用本体对领域概念和知识资源进行合理分类,并准确定义领域概念之间的相关关系,使不同实体之间的语义关系、关联关系一目了然,规范了行为活动自动关联、推理预测方式,实现特定领域知识图谱的智能查询、关联发现、关系全息和行为分析等各种应用[13]。基础词库对领域的定义、元素和术语等进行广泛采集和系统梳理,以兵种专业知识、信息基础知识和作战指挥知识理论为主体,以运筹模拟、战场仿真和作战评估等技术理论为辅,形成一个结构严谨、内容完整的专业词库[14]。
直升机飞行指挥领域的实体属性较多,且具有严格与丰富的数据模式,具有要素关联性、突变性等复杂特性,对准确度要求比较高。目标对象需要考虑各种级别的人员,不同人员对应的操作和业务场景不同。领域本体主要涉及飞行监控、任务分配、领航解算、编队控制、威胁分析、飞行引导和行动采报等典型应用本体的建模[15]。
飞行监控模型(AAFMS_Ontology):主要包括空中位置参数、剩余油量和设备工作状态。基于GPS、北斗等导航定位系统,通过数据提取,在二维、三维图形平台上实现直升机飞行实时状态监控,包含时刻、位置、航向、航速、高度、俯仰和剩余油量等工作参数信息。
领航解算模型(ALEAD_Ontology):基于飞行计划和实时飞行参数,为保证按时到达指定地点所进行的飞行解算,实现偏航和迷航的自动识别以及应飞诸元的自动计算,包括计算飞行航线、起降方式、航路点、预达时刻、飞行时间和飞行距离,依据应飞航向、航速和高度,设置检查点和迷航处置措施。航路数据格式包括起飞机场、起飞时间、航线起点位置、转弯点位置、转弯方式、飞行高度、飞行航向、飞行速度、飞行时间、飞行距离和到达时刻要求,目前采用纯文本、DOC或XML文件格式。
威胁分析模型(ATHRA_Ontology):对各种影响空中飞行安全的威胁源进行建模,生成和分发告警提示、威胁警报等信息,向飞行监控、编队控制提供威胁告警支持,威胁源主要包括地理情况(如山峰、高压线)、恶劣天气、辐射源及鸟群干扰等。
行动采报模型(AACTR_Ontology):包括计划进度、任务执行状态、目标查明情况、续航能力和物资损耗分析。依据当前时间、平台状态和所处阶段分析任务执行状态,结合计划节点要求、物资损耗情况及剩余航路等,分析行动进程状态。
任务分配模型(ATASK_Ontology):包括查明情况、空中运输、加油、搜救、避让、空中巡逻、盘旋、返回基地、禁飞通告、空投和空降等,基于专用数据交换标准,依据空域分布、目标情况及被指挥平台实力,自动进行平台装备选择与任务分配。
飞行引导模型(AFLYG_Ontology):基于任务要求,快速响应动态情况变化,进行自动分析计算,生成指挥命令,包括出航、空中集合、进入空域、请求登机、起飞降落、到达位置及返航着陆等,辅助动态调整任务和计划。
编队控制模型(AFORM_Ontology):基于无线组网模式要求,实现飞行编队的长僚控制,支持按照飞行方向进行指挥引导,包括长僚机信息共享规则与控制编队之间队形、次序、位置、航向和航速等。
3 知识图谱应用
在知识图谱建成之后,进一步研发了基于知识图谱的检索、浏览和可视化技术,并将知识图谱嵌入“直升机飞行指挥应用系统”之中发挥作用[16],提供系统性、准确性和全面性的知识推荐,逐步推动专业知识应用生态进化。
3.1 知识可视化
开发了面向飞行指挥领域的概念知识导图工具,形象展示概念本体之间的关联关系,实现复杂知识体系的可视化。知识可视化如图2所示,该工具能在不同的知识库、数据标准之间建立关联,增强专业应用知识资源的联通性[17]。通过图形交互的方式,在概念层次上浏览飞行指挥知识,发现概念或知识点之间的潜在联系,比较形象地表现了飞行指挥知识体系。

图2 知识图谱应用工具
3.2 知识检索
知识图谱使知识检索模式从“以术语为中心”过渡到“以知识为中心”,使其更加实体化、语义化和智能化。基于知识图谱,可在检索模块中嵌入“应用主题”,将用户所查实体的相关知识综合呈现出来。基于知识图谱,还能实现知识分类导航,协助用户迅速发现所关注的知识,使系统理解用户的查询意图并直接返回精确合理的指挥命令[18]。
3.3 知识推荐
通过全局概念构建、基于规则的约束关系生成,设置直升机飞行指挥知识推荐模式[19],建立【事件类型】、【涉及人员】、【时间要求】、【位置精度】等业务类型与领域本体之间的关联。例如,在“特情处置”和“搜索营救”之间建立“功能相关”关系;在“空域飞行”和“领航解算”之间建立“飞行管理”关系;在“飞行控制”和“起飞、集合、机动、解散、疏开、脱离”之间建立“行为序列”关系等。根据关联关系以及直升机平台类型(如教练机、巡逻机、通信机、武装机、运输机和电抗机等),可进行个性化知识应用推荐。如果选择运输机,则主要推荐空中运输、起飞降落等相关知识;如果选择教练机,则主要推荐编队控制、编队飞行等相关知识。
以上应用表明,基于知识图谱的直升机飞行指挥模型技术实现了飞行指挥行为、事件和关系等要素的相互衔接,能够将复杂的业务关系以比较丰富、比较全面的形式进行可视化呈现,为指挥或参谋人员深入了解、掌握直升机飞行指挥领域知识提供了有效手段,达到应急处置快捷和指挥决策高效的运用效果。
4 结束语
知识图谱的重要性不仅在于它是一个全局知识库,更是支撑知识推荐和知识关联等应用的基础,为许多专业领域提供了新型功能展示方法。直升机飞行指挥业务系统应用知识图谱技术进行资源整合、因果推理和规律探寻,创新了专业知识的内容组织方式和数据结构[20]。
在充分关联数据标准、行为条例等知识资源的基础上,对目标行为或关键事件的前因后果、关联关系、特点规律进行建模,改进了专业知识产品表现样式,能够高效提供有用信息并快速向指挥员呈现,进一步推动知识服务的升级与飞行指挥应用互操作、业务共享平台的完善。
研究成果表明,利用知识图谱实现行业或领域知识管理和知识推荐是可行的,而且具有十分重要的应用价值。知识图谱可以根据具体需求提供不同的知识服务,通过将直升机飞行指挥知识图谱构建方法进行抽象和扩展,能够应用到多个专业领域,例如:无人平台指挥能够很好地解决当前专业领域行为模型构建中的一些突出问题,值得进一步深入研究和探讨。
【转载声明】转载目的在于传递更多信息。如涉及作品版权和其它问题,请在30日内与本号联系,我们将在第一时间删除!
关注微信公众号:人工智能技术与咨询。了解更多咨询!
编辑:fqj
下一篇:俄方回应卫星碎片危及国际空间站