阅读全文2021-08-11
阅读全文2021-08-11
阅读全文2021-08-10
阅读全文2021-08-10
阅读全文2021-08-09
阅读全文2021-08-09
阅读全文2021-08-05
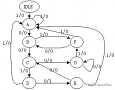
multiboot什么意思 MultiBoot的功能简介、流程介绍
阅读全文2021-08-04
阅读全文2021-07-28