时间:2017-12-22 07:50
人气:
作者:admin
在现实任务中,原始样本空间中可能不存在这样可以将样本正确分为两类的超平面,但是我们知道如果原始空间的维数是有限的,也就是说属性数是有限的,则一定存在一个高维特征空间能够将样本划分。

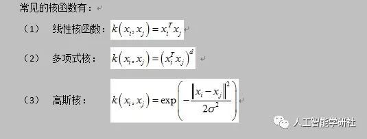
事实上,在做任务中,我们并不知道什么样的核函数是合适的。但是核函数的选择却对支持向量机的性能有着至关重要的作用。如果核函数选择不合适,则意味着样本映射到一个不合适的特征空间,这样就有可能导致性能不佳。故“核函数选择”是非常重要的一项任务。

对于线性数据集的分类来说,我们当然会选择线性核函数。但如果要分割非线性数据集,我们该如何做呢?答案是,我们可以改变损失函数中的核函数。我们今天就以高斯核函数来进行案例说明:




下一篇:机器人科技正在逐渐渗透中小企业