时间:2022-11-18 10:52
人气:
作者:admin
传统的通信网络同步依赖于频率的分配就能够满足同步的需求。但是在4G,5G等网络中,对同步的要求更高,不仅要求频率同步还要求相位同步。
而无论是TOP还是以太网物理层同步,都只能实现频率同步,不能实现时间同步。因此就需要引入基于IEEE1588V2的精密时钟同步协议。
我们知道,从无线接入到核心网,端到端的网络,有分组网PTN/IPRAN,也有DWDM/OTN网络。那么当回程业务需要穿通DWDM/OTN时,如何让DWDM/OTN也支持并进行准确的时钟时间传输?

基于1588v2,它支持三种模式,分别是OC: Ordinary Clock, BC: Boundarty Clock, TC: Transparent Clock。
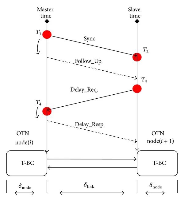
在1588模式中,OC模式应用于首末节点,BC应用于网络的中间节点。在端到端的回程传输时,处于DWDM/OTNkh中的1588基本上是T-BC模式的。以下图为例。

下面我们就来看看,1588 PTP报文在DWDM/OTN网络中进行准确的时间/相位传输的几种方式。大体上可以有以下三种方式:
(1)OSC方式:使用光监控信道(OSC)传输IEEE1588v2 Sync数据包。属于带外传输。
带外OSC传输时间时钟信号,从客户信号中提取1588v2的PTP报文,1588v2报文的比特流以透明或者说近乎透明的方式被封装在光传送单元中。由于业务均为双向处理,而且在处理过程中的时延也是双向对称的,所以并不会对1588时间时钟的精度恢复造成影响。这种方式也就要求DWDM/OTN设备支持1588功能,以对其报文进行处理。

(2)ESC方式:使用OTN光信道数据单元k(ODUk)保留的开销字节来传输IEEE1588v2 Sync数据包。如下为OTN帧格式(ITU-T G.709)中的RES保留开销字段,属于带内传输。

以ESC方式,因此直接涉及到OTUk帧的开销,时间时钟报文在业务上下节点需要对1588报文处理,OTN设备就必须支持1588功能。
上面的两种1588v2传输方式中,或多或少都会面临时延变化和双向不对称的问题,这是DWDM/OTN承载1588 PTP报文的主要问题:
第一个问题:时延变化,网络中的每个节点和链路都会引入时延。时延变化是DWDMDWDM/OTN技术对1588v2 PTP性能影响最为主要的考虑因素。我们知道,当业务接入后,以半透明的GFP-F映射时,又或者当引入L2层交换功能时,都会造成以太网帧缓冲带来的时延不对称,从而对其精度造成严重的影响。基于T-BC模式的时间传输模式的时延可以用如下图表示。

第二个问题:双向不对称性,1588协议最重要的前提是双向的对称。在实际网络中会带来各种不对称因素。例如,光纤链路的不对称,某些网络保护倒换机制形成的双向路径的不一致造成的不对称。当然除了上面说的最明显的光纤链路长度不对称,在波分复用(WDM)中,同一条光纤上承载的多个波长通道,由于色散,使用不同的波长也会导致光纤链路时延的不对称性。

针对光纤链路长度的不对称性,可以在一开始就设计好光纤链路,将链路长度的不对称性减小到可以容忍的程度。而对由于不同波长的色散引起的不对称性问题,也可以通过计算通过NMS来补偿。下图为单模光纤G.652上两个极端波长的最大光纤链路因色散导致的延迟参数。

(3)透传方式,由于PTP 1588报文直接作为客户侧信号承载,OTN设备不需要对其做任何的1588处理,因此此种情况下,并不需要DWDM/OTN支持1588功能。

虽然这种方式比较容易实现,但是考虑到不同光纤链路不同波长的时延影响,而又没有任何有效的补偿办法,其精度较低,满足不了高精度的同步要求。
审核编辑:刘清