时间:2022-11-18 15:39
人气:
作者:admin
01
EVM for DMRS
我们曾在一起来学5G终端射频标准(SRS Transmit ON/OFF Time Mask)中提到过同样作为参考信号的DMRS与SRS的区别。DMRS总是与每个信道相关联,它提供关于PUSCH/PUCCH具体使用的频率区域的信息,DMRS也始终与他们一起传输,用于相干解调和信道估计。
下面我们主要来看一下DMRS的EVM该如何计算。当然要很好地借鉴上一篇一起来学5G终端射频标准(EVM究竟如何算)的EVM算法。首先,EVMDMRS的测试要求与PUSCH的EVM测试要求是相同的,计算过程有哪些相同和不同呢?
首先从测量点位置看:有相同也有不同。下面这张图已经多次被提起。EVMDMRS的测试点位置,根据不同的类型,分散在位置③和位置④。

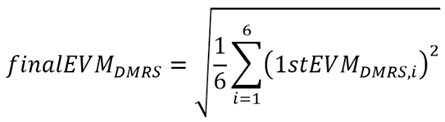
测量周期有所不同:相比于PUSCH的EVM测量需要10个子帧的有效值,需要采集n个time slot,而DMRS则需要60个子帧的有效值,6n个time slot,构成6个EVMDMRS子周期。
n的定义详见一起来学5G终端射频标准(什么是传输信号质量)。重复6次的目的是想覆盖EVMDMRS的较长的总测量周期(时隙),最终的结果是6次的平均值。如下式所示,不过1st是不是又写错了,应该是ist。

FFT取窗是相同的:都是在
-W/2和
+W/2中取较大的结果,作为一个EVMDMRS子周期结果。
采样的symbol不同了:也就是Z’(f,t) 有所不同。对于EVM来说,会将解调参考符号(DMRS)排除掉,而使用数据符号。而对于EVMDMRS,数据符号将会被排除在外,而使用解调参考符号。如下所示:
data symbol (t=0,1,3,4,5,6,8,9,10,12,13);
DMRS symbols (t=2,7,11)

式中t就是承载DMRS的symbol 2,7,11,所以T=3;
f覆盖了DMRS信号所占用的RB,|F|=12*
,
是被分配的RB数。
其他参数同PUSCH EVM。
Z’(f,t)同样是由测量信号被均衡之后得到的,即Z’(f,t) = MS(f,t) ^.^ EC(f)。
02
EVM的测试步骤
PUSCH的EVM及DMRS的EVM有着相同的测试步骤。
根据上一篇,EVM的最小要求,除256QAM以外的调制,需要UE输出功率大于等于最小发射功率的要求,而对于256QAM调制,UE输出功率需满足最小发射功率+10dB的要求。
然而在38.521-1中,对于PUSCH EVM及DMRS的测量步骤,却又是如下规定的:
步骤1:设置综测仪SS配置UL RMC,然后发送“up”的TPC命令,使得UE以PUMAX电平发送;此时需测量EVM及EVMDMRS。也就是说在测量步骤中,仍然是让UE处于TPC最大的状态下进行了测量。
步骤2:则是按照最小要求的规定,对于256QAM以外的调制方式,使用1dB的功率步长向UE发送上行功率控制命令,以确保测试系统测量的UE目标功率为Pmin,即根据表6.3.1.3-1规定的最小输出功率。(还需额外考虑MU)
对于256QAM,使用1dB功率步长向UE发送上行功率控制命令,以确保测试系统测量的UE目标功率为Pmin+10dB。(还需额外考虑MU)
此时再对EVM及EVMDMRS进行测量。
所以这两种测试步骤都被定义在一致性测试规范中,都是符合最小要求规定的。

审核编辑:刘清