时间:2022-12-19 10:10
人气:
作者:admin
滤波器是一种使用信号通过而同时抑制无用频率信号的电子装置, 在信息处理、数据传送和抑制干扰等自动控制、通信及其它电子系统中应用广泛。
滤波一般可分为有源滤波和无源滤波, 有源滤波可以使幅频特性比较陡峭, 而无源滤波设计简单易行, 但幅频特性不如滤波器, 而且体积较大。
从滤波器阶数可分为一阶和高阶, 阶数越高, 幅频特性越陡峭。高阶滤波器通常可由一阶和二阶滤波器级联而成。采用集成运放构成的RC 有源滤波器具有输入阻抗高,输出阻抗低, 可提供一定增益, 截止频率可调等特点 。压控电压源型二阶低通滤波电路是有源滤波电路的重要一种, 适合作为多级放大器的级联。
本文根据实际要求设计一种压控电压源型二阶有源低通滤波电路, 采用E仿真软件Mu ltisim10对压控电压源型二阶有源低通滤波电路进行仿真分析、调试, 从而实现电路的优化设计。
1.电路结构
二阶有源低通滤波器典型结构如下图所示:

其中, Y1 ~ Y5 为导纳, 考虑到Up = UN , 根据KCL 可得到如下:
Auf = 1+ RF /R 6。只要适当选择Yi, 就可以构成低通、高通、带通等有源滤波器。设Y1 = 1 /R 1, Y2 = sC1, Y3 = 0, Y4 = 1 /R 2, Y5 =
sC2, 将其代入式( 1)中, 得到压控电压源型二阶有源低通滤波器的传递函数为:


这是二阶低通滤波器传递函数的典型表达式。其中, Xn 为特征角频率, Q 称为等效品质因数。

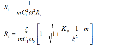
具体设计时,根据对滤波器提出的特性要求,选择适当的固有频率ω0及阻尼系数ξ和通带增益Kp。根据需要选择电容比例系数m,其计算公式为:

设计步骤:
第一步,根据滤波器截止频率,从表1中选择电容器C1的电容值,由比例系数m计算C2的电容值。C2=mC1

第二步,计算电阻R1、R2

第三步,计算电阻R3和Rf。

要求:设计一低通滤波器,要求kp=10,fC=l000Hz,计算无源元件的数值。
解:(1)确定电容值。
由于阻尼系数一般为

则截止频率fc与固有频率f0相等,则
fc=f0=1000Hz
根据f0由表1选C1=0.01μF,并取m=2

C1选0.01μF,C2选0.02μF(可以两个0.01μF并联)。
(2),计算电阻R1、R2:

查阅电阻系列表,R1选4.7kΩ,R2选27kΩ。
(3)计算Rf和R3,得

电路设计完成后,是否 满足设计要求呢,通过Multisim软件进行仿真测试,图2和图3为该滤波器的Multisim电路图和频率特性测试截图。
截止频率fc=1000hz 放大倍数kp=10倍



原文标题:4、电路仿真
文章出处:【微信公众号:嵌入式学习资料】欢迎添加关注!文章转载请注明出处。