时间:2022-11-12 14:54
人气:
作者:admin
01 LNA的作用
LNA常用于无线电接收机的前端,其作用是提高接收机的灵敏度。LNA放大输入端的微弱信号,是接收机的第一个有源器件,其噪声、非线性、匹配等性能对整个接收机的性能非常重要。LNA的输入输出端的滤波器的作用,可以抑制带外干扰,在超外差接收机中具有抑制镜像的功能。

LNA电路图
02 LNA的几个参数介绍
噪声系数:
噪声系数(F):是描述信号通过LNA放大时的信噪比的变化,定义为输入信噪比比上输出信噪比。具体公式如下所列:

由于所有的器件都会有附带热噪声,所以信号经过放大器后,其信噪比进一步恶化。噪声系数必然是大于1的,如果用分贝表示就是正数。

微波系统通常由多级网络构成,每一个部件的加入都会增加系统的噪声,降低系统的总信噪比。对于多级放大器的级联电路,

多级级联LNA电路图
其系统噪声系数公式可以表达如下所列:

多级级联LNA的计算公式
通过这个式子,我们就可以看出串联放大器的噪声系数取决于第一级放大器。所以我们在系统电路设计中,尽量减小第一级的噪声系数及采用高增益的放大器。
增益(G):
低噪声放大器的增益定义为输出功率和输入功率的比值:

较大的增益有助于减小低噪声放大器后级电路噪声对接收机的影响,但是增益过大会引起线性度的恶化,增益应该适中,在25dB以内。
反向隔离:
反映输出端与输入端的隔离度,反向隔离度的典型值为增益的2倍。
03 噪声系数与输入灵敏度
由于LNA是接收机第一级有源电路,其噪声系数将直接相加在系统的噪声系数上面。

若在200kHz的带宽(B)系统所需的信噪比(SNR)为8dB,则输入灵敏度为:Pin(dBm)=-174dBm/Hz+F+10lgB+SNR
=-174dBm/Hz+4+10lg200*1000+8
=-109dBm.
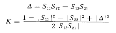
04 LNA的稳定性
若LNA满足条件:


则放大器为无条件稳定。
放大器的稳定性随着S12的下降即反向隔离度的提高而提高;
一种方法是通过抵消输入输出电容通路(称为中和)来提高放大器的反向隔离度;
另一种方法是采用共射共基结构(称为cascode结构),来抑制密勒电容引起的反馈,提高隔离度。
审核编辑:刘清
上一篇:详解通信系统的互调干扰及解决方法
下一篇:一文详解VXLAN网关技术