时间:2022-08-03 18:18
人气:
作者:admin
与传统的MIMO技术相比,massive MIMO技术仍然是一项新兴技术,研究人员在技术商业化过程中遇到了许多挑战。
一、信道估计
信道估计在通信系统中占据重要地位,估计准确与否,会对系统性能产生深刻影响,尤其是在信道译码器无法抵抗由于信道估计误差过大带来的影响。首先,massive MIMO系统具有大规模天线阵列,对应的信道响应符合一定的大数定律(LLN)。其次,目前massive MIMO采用的是TDD技术。该技术不同于FDD技术,具有信道互易特性。TDD技术的研究仍然具有挑战性。最后,massive MIMO系统的导频污染问题仍未解决。当在一个小区中使用正交导频序列,而在小区之间使用相同的导频序列组时,就会出现这个问题。产生这个问题的主要原因是,当用户使用同一组训练序列或非正交训练序列时,相邻小区的用户发送的训练序列是非正交的。因此,基站估计的信道不是本地用户与基站之间使用的信道,而是被其他小区用户发送的训练序列污染的信道。图1显示了因多小区造成的导频污染的场景。

图1 导频污染图例
二、信道建模
在massive MIMO系统中,基站配备了大量天线,从而显著提高了MIMO传输的空间分辨率。无线传输信道具有新的特性,需要系统地讨论适用于大规模MIMO系统的信道模型。在给定的信道模型和发射功率下,准确表征信道支持的最大传输速率(即信道容量),从而揭示各种信道特性对信道容量的影响,为传输系统的优化设计提供重要依据。以及频谱效率和能源效率等性能评估。一种3D基站天线模型,如图2所示。

图2 3D基站天线模型
三、信号检测
Massive MIMO系统中的信号检测技术对系统的整体性能有着至关重要的影响。与现有的MIMO系统相比,massive MIMO系统中的基站配备了大量天线,因此会产生大量的数据,这对射频和基带处理算法提出了更高的要求。期望MIMO检测算法具有实用性,在低复杂度和高并行度之间取得平衡,具有硬件可实现性和低功耗。一种基于MMSE的信道检测器设计,如图3所示。图4显示了用于5G通信系统的256QAM调制星座图。

图3 MMSE检测器

图4 256QAM调制星座图
四、CSI获取
在5G高可靠性、低延迟的要求下,CSI的估计必须实时、准确。CSI在以后的信道建模和通信中起到了支持和保证的作用。如果不能快速、准确地捕获CSI,则传输过程将受到严重干扰和限制。根据现有的研究结果,如果在massive MIMO系统中引入一个快衰落模块,系统的CSI将会随着时间缓慢变化。此外,系统服务的并发用户数与基站天线数量无关,受系统获取CSI能力的限制。图5显示了NR中的CSI框架。

图5 NR中的CSI框架
五、大规模天线阵列器件设计
众所周知,天线之间的空间过小会导致相互干扰,因此如何在有限的空间内有效地部署大量天线成为一个新的挑战。上述问题的研究面临着许多挑战。随着研究的深入,研究人员对massive MIMO技术在5G中的应用寄予了厚望。可以预见,massive MIMO技术将成为5G区别于现有系统的核心技术之一。图6给出了一种基于ADRES的MIMO检测器芯片设计架构。

图6 基于ADRES的MIMO检测器芯片架构
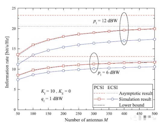
衡量任何通信信道性能的一个重要指标是信息理论容量。在一个SU-MIMO信道中,容量是在传输功率受限的情况下,作为可用带宽可以传输的最大信息量的函数。在SU-MIMO信道中,通常假设所有发射天线之间分配的总功率是有限的。对于多用户MIMO信道,这个问题有点复杂。给定总发射功率的约束条件,可以将总发射功率的不同分数分配给网络中的不同用户。因此,对于总功率的任何值,都会得到不同的信息速率。图7显示了信息速率于天线数量之间的关系。

图7 信息速率与天线数量
审核编辑:刘清
上一篇:CCIX协议层
下一篇:无线电源增强5G覆盖范围