时间:2021-01-27 11:52
人气:
作者:admin
作者:ADI公司 Brad Hall
随着全球连接需求的增长,许多卫星通信(satcom)系统日益采用Ka频段,对数据速率的要求也水涨船高。目前,高性能信号链已经能支持数千兆瞬时带宽,一个系统中可能有成百上千个收发器,超高吞吐量数据速率已经成为现实。
另外,许多系统已经开始从机械定位型静态抛物线天线转向有源相控阵天线。在增强的技术和更高集成度的推动下,元件尺寸得以大幅减小,已能满足Ka频段的需求。通过在沿干扰信号方向的天线方向图中形成零位,相控阵技术还能提高降干扰性能。
下面将简要描述现有收发器架构中存在的一些折衷选项,以及不同类型的架构在不同类型的系统中的适用性。本分析将分解介绍卫星系统的部分关键技术规格,以及如何从这些系统级技术规格获得收发器信号链层各组件的规格。
从系统级分析向下分解技术规格
从宏观层面来看,卫星通信系统需要维持一定的载噪比(CNR),此为链路预算计算的结果。维持该CNR可以保证一定的误码率(BER)。需要的CNR取决于多种因素,如纠错、信息编码、带宽和调制类型。确定CNR要求之后,就可以依据高层系统要求向下分解得到各个接收器与发射器的技术规格。一般地,首先得到的是收发器的增益-系统噪声温度(G/T)品质因数和发射器的有效全向辐射功率(EIRP)。
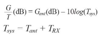
对于接收器,要从G/T得到低层接收器信号链规格,系统设计师需要知道天线增益和系统噪声温度,该值为天线指向与接收器噪声温度的函数,如等式1所示。基于此,可以用等式2得到接收器温度。

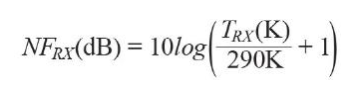
然后可以用等式3计算接收器信号链的噪声指数:

获知接收器噪声指数以后,可以进行级联分析,确保信号链是否符合这些必要技术规格的要求,以及是否需要进行调整。
对于接收器,首先基于接收器的距离(地到卫星或卫星到地的距离)和接收器灵敏度确定需要的EIRP。获知EIRP要求之后,需要在发射信号链的输出功率与天线增益之间做出折衷。对于高增益天线,可以减小发射器的功耗和尺寸,但其代价是增加天线尺寸。EIRP通过等式4计算。

只要谨慎选择信号链所用组件,就能维持输出功率不变,并且不会导致其他重要参数下降,例如干扰其他系统的输出噪声和带外射频能量。
发射器和接收器的其他重要技术规格包括:
·瞬时带宽:信号链在任意时间点可以数字化的频谱带宽
·功率处理:信号链在不导致性能下降的条件下要处理的最大信号功率
·通道间的相位相干性:针对新兴的波束赋形系统,确保通道间相位的可预测性可以简化波束赋形信号的处理和校准
·杂散性能:确保接收器和发射器不会在不期望的频率下产生射频能量,以免影响该系统或其他系统的性能

图1. 架构比较:(a) 高中频(集成TRx),(b) 双变频超外差架构(带GSPS ADC)
(c) 单变频超外差架构(带GSPS ADC),(d) 直接变频(带I/Q混频器)
在信号链的设计过程中,务必记住这些和其他技术规格,以确保设计出能满足任何给定应用需求的高性能系统,无论是宽带多载波聚合集线器还是单个窄带手持式卫星通信终端。
通用架构比较
确定高层技术规格以后即可决定采用哪种信号链架构。前面列出过并且可能对架构产生重大影响的一个关键技术规格是瞬时带宽。该规格会影响接收器的模数转换器(ADC)和发射器的数模转换器(DAC)。为了实现高瞬时带宽,必须以更高的速率对数据转换器采样,结果一般会推高整个信号链的功耗,但是,如果从单位功耗(W/GHz)来看,则会降低功耗。
对于带宽不足100 Mhz的系统,许多情况下最好采用类似于图1a的基础架构。该架构将标准下变频级与集成式直接变频收发器芯片结合起来。集成的收发器可实现超高的集成度,从而大幅减小尺寸和功耗。
为了达到1.5 Ghz的带宽,可以将经典的双变频超外差架构与最先进的ADC技术结合起来;如图1b所示。这是一种成熟的高性能架构,集成的变频级用于滤除无用的杂散信号。根据收到的频段,用一个下变频级将接收的信号转换成中频(IF),然后用另一个下变频级将最终的中频信号转换成ADC可以数字化的低频信号。最终中频越低,ADC性能越高,但其代价是会增加滤波要求。一般地,受组件数量增加影响,该架构是本文所提四个选项中尺寸最大、功耗最高的架构。
与其类似的选项如图1c所示,图中是一个单次变频级,用于将信号转换成高中频,再由GSPS ADC采样。该架构利用了ADC能数字化的更多射频带宽,几乎不会导致性能下降。市场上最新的GSPS ADC可以对最高9 Ghz的射频频率直接采样。在本选项中,中频中心在4 Ghz和5 Ghz之间,可在信号链滤波要求与ADC要求之间达到最佳平衡。
最后一个选项如图1d所示。该架构的瞬时带宽增幅甚至更大,但其代价是非常复杂,并且有可能导致性能下滑。这是一种直接变频架构,采用一个无源I/Q混频器,后者可以在基带上输出两个相互偏移90°的中频。然后用一个双通道GSPS ADC对各I和Q路进行数字化。在这种情况下,可以获得最高达3 Ghz的瞬时带宽。该选项的主要挑战是在信号通过混频器、低通滤波器和ADC驱动器传播时,要在I和Q路径之间维持正交平衡。根据具体的CNR要求,这种折衷可能是可以接受的。
以上从宏观层面简要介绍了这些接收器架构的工作原理。列表并未穷尽所有情况,也可以把各种选项综合起来使用。虽然比较未涉及发射信号链,但图1中的每个选项都有一个对应的发射信号链,其折衷情况也相似。
Ka频段卫星通信接收器示例
以上讨论了各种架构的优点和不足,接下来,我们可以将这些知识运用到真实的信号链示例当中。目前,许多卫星通信系统都运行在Ka频段,以减小天线尺寸、提高数据速率。在高吞吐量卫星系统中,这一点尤其重要。以下是采用不同架构的示例,我们将对其进行更加详细的比较。
对于要求100 Mhz以下瞬时带宽的系统,如甚小孔径终端(VSAT),可以采用集成收发器芯片的高中频架构(AD9371),如图2所示。该设计可以实现低噪声指数,并且由于具有高集成度,所以其设计尺寸最小。现将其性能总结于表1中。

图2. 高中频(集成TRx),带宽最高100 MHz
作为卫星通信系统多个用户的集线器,这些系统可能要同时处理多个载波信号。这种情况下,每个接收器的带宽或带宽/功率就变得非常重要。图3所示信号链采用一款高速ADC,即AD9208,这是最近发布的一款高采样速率ADC,可以数字化最高1.5 Ghz的瞬时带宽。在本例中,为了实现1 Ghz的瞬时带宽,中频被置于4.5 GHz。这里可实现的带宽取决于位于ADC之前的抗混叠滤波器的滤波要求,但一般局限于奈奎斯特区的~75%(采样速率的一半)。

图3. 用GSPS ADC单下变频至高中频
在要求最高瞬时带宽并且可能以牺牲CNR为代价的系统中,可以采用图4所示信号链。该信号链采用一个I/Q混频器,即HMC8191HMC8191,其镜像抑制性能为~25 dBc。在这种情况下,镜像抑制性能受到I和Q输出通道间幅度和相位平衡的限制。在不采用更先进的正交误差校正(QEC)技术的情况下,这是该信号链的限制因素。该信号链的性能总结见表1。需要注意的是,NF和IP3性能与其他选项类似,但功率/GHz指标则为三者中最低,并且从任意时间可以利用的带宽量来看,其尺寸也属最佳状态。

图4. 用I/Q混频器和GSPS ADC实现直接变频。
这里给出的三种接收选项如下表所示,但需要注意的是,该表并未列出全部可能选项。这里的总结旨在展示各种信号链选项之间的差异。在任何给定系统中,最终的最优信号链既可能是三者之一,也可能是任意选项的综合运用。

另外,虽然表中只显示了接收器端的情况,但发射器信号链也存在类似的折衷情况。一般地,系统从超外差架构转向直接变频架构后,需要在带宽与性能之间进行折衷。
数据接口
在数据被ADC或收发器数字化以后,必须通过数字接口交给系统处理。这里提到的所有数据转换器都采用了高速JESD204b标准,从数据转换器接收信号,然后把信号打包组帧,再通过少量走线进行传输。芯片的数据速率因系统要求而异,但这里提到的所有器件都有用于抽取和频率转换的数字功能,能够适应不同数据速率,以满足不同系统要求。该规格在JESD204b通道上最高支持12.5 GSPS的速率,传输大量数据的高带宽系统即充分利用了这一点。有关这些接口的详细描述请参阅AD9208和AD9371的数据手册。另外,FPGA的选择必须考虑该接口。供应商(如Xilinx®和Altera®)提供的许多FPGA目前已经在其器件中集成该标准,为与这些数据转换器的集成提供了便利条件。
结论
本文详细介绍了各种折衷情况,并就Ka频段卫星通信系统适用的信号链列举了一些例子。还介绍了几种架构选项,包括利用集成式收发器AD9371的高中频单次变频选项,用GSPS ADC取代集成收发器以提高瞬时带宽的类似架构,以及可以提高带宽但会降低镜像抑制性能的直接变频架构。介绍的信号链虽然可以直接使用,但建议以其为基础进行设计。根据具体的系统级应用,会出现不同的要求,随着设计工作的推进,信号链的选择会越来越明晰。
参考电路
Bosworth, Duncan and Wyatt Taylor.“带宽需求给卫星通信设计带来新的压力。”ADI公司,2016年。
Delos, Peter. “宽带接收机架构方案综述。”ADI公司,2017年。
Hall, Brad and Wyatt Taylor. “小尺寸卫星通信解决方案。”ADI公司,2017年。
卫星通信系统—第5版。West Sussex: John Wiley & Sons, Inc., 2009年。