时间:2021-04-12 15:28
人气:
作者:admin
本应用笔记介绍了Microchip Technology的MiWi™无线网络协议栈。本说明提供有关管理此网络协议,术语,功能,MiWi协议概述(包括IEEE 802.15.4 MAC和设备类型)以及MiWi协议网络配置(例如星形网络,群集树网络,网状网络和多路访问)的一些注意事项的信息。网络。地址分配,MiWi协议消息传递,堆栈消息和服务,编程接口,用户注意事项以及资源要求也包含在本文档中。
介绍
使用无线网络实现应用程序现在很普遍。从消费类设备到工业应用,人们越来越希望设备具有内置的无需硬连线即可相互通信的能力。挑战在于选择正确的无线网络协议并以经济高效的方式实现它。
Microchip MiWi™无线网络协议栈是为低数据速率,短距离,低成本网络设计的简单协议。MiWi协议从根本上基于针对无线个人区域网(WPAN)的IEEE 802.15.4™进行了扩展,以支持Microchip专有的RF收发器,它为无线通信提供了一种易于使用的替代方法。特别是,它针对的是网络规模较小,之间几乎没有跳数的较小应用程序。现在,MiWi协议是MiWi™开发环境(DE)支持的无线通信协议之一。它使用MiMAC接口与Microchip RF收发器进行通信,并使用MiApp接口与应用层进行交互。
本说明假定用户已经熟悉C编程语言和IEEE 802.15.4。强烈建议您在使用Microchip MiWi无线网络协议栈之前,先详细阅读IEEE 802.15.4规范和MiMAC / MiApp应用笔记。
特征
MiWi协议的当前实现具有以下功能:
支持不同频段上的所有Microchip RF收发器。
可在各种Microchip MCU系列之间移植。
与RTOS和应用程序无关
对MPLAB®C18,C30和C32编译器的开箱即用支持
易于使用的API
MiWi协议概述
MiWi协议基于IEEE 802.15.4规范的MAC和PHY层,并且针对2.4 GHz和SubGHz ISM频段的简单网络开发量身定制。该协议提供了以下功能:查找,形成和加入网络,以及发现网络上的节点并路由到它们。它不涉及任何特定于应用程序的问题,例如如何选择要加入的网络,如何确定链路何时断开或设备应多长时间进行一次通信。
IEEE 802.15.4 MAC
MiWi协议使用IEEE标准802.15.4作为参考来开发其MAC层。
与IEEE 802.15.4相似,MiWi协议在MAC中使用确认的数据传输机制。此方法在数据包头中使用特殊的ACK标志。设置此标志时,需要由其接收方确认发送方;这确保了实际上已经交付了框架。如果在设置了ACK标志的情况下发送了该帧,并且在某个超时时间内未收到确认,则发送器将在声明错误之前重试发送固定的次数。
重要的是要注意,确认的接收仅表示MAC层已正确接收到帧。但是,这并不表示该帧已正确处理。接收节点的MAC层可能正确接收并确认了帧,但是由于缺乏处理资源,帧可能会被上层丢弃。结果,应用程序的上层可能需要附加的确认响应。
MiWi协议网络配置
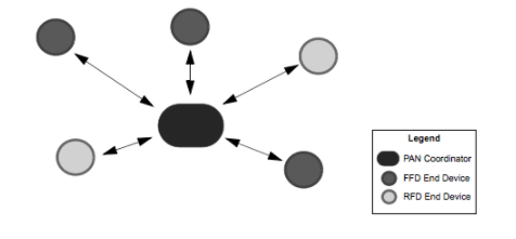
在MiWi协议中定义的三种设备类型中,联网的最基本类型是PAN协调器。PAN协调器是启动网络并选择信道和网络的PAN ID的设备。加入PAN的所有其他设备必须遵守PAN协调器的说明。
星型网络配置
星形网络配置(图1)由一个PAN协调器节点和一个或多个终端设备组成。在星型网络中,所有终端设备仅与PAN协调器通信。如果终端设备需要将数据传输到另一个终端设备,则将其数据发送到PAN协调器,后者再将数据转发给预期的接收者。

图1星型网络配置
群集树网络配置
在集群树网络中(图2),仍然只有一个PAN协调器;但是,其他协调员也可以加入网络。这形成了树状结构,其中PAN协调器是树的根,协调器是树的分支,终端设备是树的叶子。在群集树网络中,通过网络发送的所有消息都遵循树结构的路径。由于消息可能会通过一个以上的节点进行路由以到达其最终目的地,因此群集树网络有时也称为多跳网络。

图3群集树拓扑
网状网络配置
网状网络(图3)类似于群集树配置,除了全功能设备(FFD)可以将消息直接路由到其他FFD而不是遵循树形结构。简化功能设备(RFD)的消息仍必须通过RFD的父节点。这种拓扑的优点是可以减少消息等待时间并提高可靠性。像群集树网络一样,网状网络也是多跳的。

图3网状网络
多路访问网络
IEEE 802.15.4网络是一个多址网络,这意味着网络中的所有节点都可以平等地访问通信介质。有两种类型的多址访问机制:信标和非信标。
在启用信标的网络中,仅允许节点在预定义的时隙中进行传输。PAN协调器周期性地从一个超帧开始,该超帧被标识为信标帧,并且网络中的所有节点都应与该帧同步。在超帧中为每个节点分配了一个特定的时隙,在此期间,允许其发送和接收其数据。超帧还可以包含一个公共时隙,在此期间所有节点竞争访问该信道。
在不启用信标的网络中,只要信道空闲,网络中的所有节点都可以随时进行传输。当前版本的Microchip MiWi无线网络协议栈仅支持非信标网络。
编辑:hfy