时间:2020-05-14 09:41
人气:
作者:admin
Internet的拥塞控制已经成为当前计算机网络研究领域的一个热点。网络拥塞的发生来源于网络资源和流量分布的不均匀,拥塞使得数据包在传输过程中时延增大,丢包率上升,吞吐量下降,从而导致网络服务质量下降。近年来,应用控制理论方法来处理网络的拥塞控制问题越来越受到人们的关注。
RED算法是IETF推荐使用的唯一的AQM算法,但研究及实践均发现, RED算法的鲁棒性和稳定性并不十分理想, 其性能对网络设计参数及运行状态很敏感。另外,由于TCP链路的物理差别,传播时延也有较大的波动。但已有的大多数算法和策略都没有充分考虑大时滞对AQM稳定性的影响,从而导致了大时滞网络环境下的剧烈的系统震荡,降低了链路利用率。现代时滞系统分析技术基于严格的理论推导与证明,将时滞分析技术应用于网络拥塞控制研究是可行的,并且为深入研究网络参数和系统稳定性提供帮助。
本文基于TCP/AQM流体动力学模型,从H∞控制理论的观点出发,将TCP流个数的扰动作为网络负载来考虑,基于LMI方法设计了具有时滞反馈的网络控制系统的H∞拥塞控制器,由控制器得到的数据包分组丢弃概率的变化不仅与队列的变化率有关,还与窗口的变化率有关,并进一步说明该控制器为基于平均队列长度估计的预测控制器。仿真结果表明,所设计的控制器在高速网络中具有良好的稳定性和鲁棒性。
1 TCP/AQM反馈控制系统
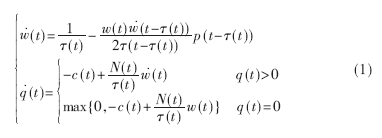
Misra等人基于流体动力学提出了TCP/AQM系统模型,用一对非线性微分方程表示:


则TCP/AQM系统模型可化为如下形式的反馈控制系统:
证明:
(1)如果定理中LMI成立,则系统是渐近稳定的;由式(9),利用Schur补性质可得出式(7),从而由引理1可证得无扰动时式(4)渐近稳定。
则定理2得证。另外由于式(15)为LMI,因此将网络参数代入即可求解。
2.3 H∞网络拥塞控制器的参数估计
当网络稳定时,由系统参数之间的相互关系,通过解LMI式(15)及式(16)可得出k和γ的值,此时AQM/TCP系统的H∞拥塞控制器的形式为:
3 性能仿真
队列长度变化及窗口大小的变化见图1和图2,可以看出,所设计的拥塞控制器在大时滞环境下比RED算法获得了更稳定的队列变化;并且窗口变化平缓,链路利用率高,具有良好的稳定性和鲁棒性。


针对大多数传统AQM算法和策略没有充分考虑大时延对AQM稳定性影响的问题,本文基于LMI方法设计了一种H∞网络拥塞控制器,由控制器得到的数据包分组丢弃概率的变化不仅与队列的变化率有关,还与窗口的变化率有关,并进一步说明该控制器为基于平均队列长度估计的预测控制器。仿真结果表明,所设计的控制器在高速网络中具有较高的链路利用率和很好的队列稳定性,并且具有良好的稳定性和鲁棒性能。
责任编辑:gt