时间:2011-09-01 10:04
人气:
作者:admin
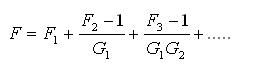
无线接收机的灵敏度实际上主要与系统噪声系数(F)有关,因为带宽(BW)由标准预先确定。
(公式1)
低噪声放大器(LNA)正如它的名字含义那样,通过减小系统噪声系数来提高接收机的灵敏度。Friss公式表明,接收机第1级电路的噪声系数(F1)占主导作用,后级电路(即F2,F3...)的影响则逐渐减小。

(公式2)
其中,Gn代表接收链路中第n级电路的增益。
发射机和接收机通过选频双工器,或者频域双工或时域双工(TDD)的射频开关,共用一根天线。另外,在LNA之前可能会插入一个带通滤波器,用于防止被强大的带外干扰所阻塞或减敏。遗憾的是,双工器和滤波器都是无源器件,都存在一定的射频损耗。因为这些损耗发生在LNA之前,所以它们对总的灵敏度有很大的影响。因此,如果LNA噪声系数具有一定的设计余量,那么双工器和滤波器的损耗指标也许就不那么重要了。
除了低噪声外,其它重要的性能参数还包括增益和线性度。无线基础设施通常包含一个塔顶安装的LNA,这个LNA需要通过一根长电缆连接到地面的无线电小屋,因此,为了克服电缆损耗,最好具有较高的增益。线性度之所以重要,是因为在塔周围的射频频谱非常拥挤,因为要与其它无线服务共享基站。
本文的目的是要表明,从性能和成本角度考虑,单级GaAs PHEMT微波单片集成电路(MMIC)是实现无线基础设施使用的3.5GHz LNA的最佳解决方案。
MMIC器件
图1显示了安华高公司MGA-635P8 MMIC的内部和外部电路。内部电路由制造在同一裸片上的一个共源共栅放大器(AMP)和一个有源偏置调节器(BIAS)组成。共源共栅拓扑结构主要是根据3.5GHz时大于15dB增益这个要求设计的,因为以前采用相同的GaAs增强型伪形态高电子迁移率晶体管(ePHEMT)工艺的共源(CS)设计只能达到约13dB的增益。虽然两级共源电路可以通过级联达到期望的增益,但共源共栅拓扑结构具有电流再使用的额外优势,即同一电流流经两级电路。

图1:(a)LNA电路和(b)PCB和元件。
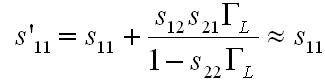
在一些接收机实现中,当输入信号很强时,LNA之后的增益级电路将被射频开关旁路掉。开关切换引起的LNA负载匹配(ΓL)的变化将被传回到输入匹配(S11),因为该器件为非单向型(即S12≠0)。天线和输入滤波器都是对端接非常敏感的器件,它们可能因S11变化而失谐。当S12接近于零时,S11对负载变化的敏感度会降低,(公式21) (当s12→0)。

共源共栅拓扑的反向隔离是共源拓扑的1/200至1/2000,这是选择共源共栅拓扑的第二个原因。由于直接转换接收器对本地振荡器的自混频较灵敏,所以此器件同样能从较好的隔离中受益。
共源共栅拓扑中的每个FET都只能得到总供电电压Vdd的一半。因此,在低电压工作时,共源共栅拓扑的增益和线性度可能要比共源拓扑低。EPHEMT是实现共源共栅的理想选择,因为其增益和线性度在Vds≥2V时非常稳定。共源共栅输出要与串联RC网络级联起来,以便提高工作频率以上的稳定性。
MMIC采用了成熟且极具成本效益的0.25μm工艺制造,其增益带宽乘积fT超过30GHz。除了尽量减少达到目标增益所要求的电路级数外,较高的fT也有利于实现低噪声系数。另外,通过加倍金属厚度,可以最大限度地减小电路互连中产生的Johnson噪声。这种0.64x0.64mm芯片安装在8引脚的方形扁平无引脚(QFN,2x2x0.75mm)塑料封装内。
内部偏置调节器允许通过RBIAS或外部施加的偏置电压VBIAS控制LNA静态电流(Ids)。调节器的低电流驱动要求(IBIAS≤1mA)与大多数CMOS器件兼容,并且可以在时域双工(TDD)应用中使用5V逻辑切换LNA(断开LNA可以防止发射期间由于栅极电流增加引起的金属迁移)。器件阈值电压(VT)、前向跨导(gm)和RDS(导通)会随温度变化以及晶圆不同而改变,进而逆向改变工作点。在此设计中,在一颗芯片上集成偏置调节器和LNA有助于稳定工作点,因为VBIAS和VGS电压可以通过相互"镜像"来补偿热漂移和不同晶圆批次之间的gm变化。