时间:2011-01-25 16:37
人气:
作者:admin
1 引言
扬声器系统的分频器分为前级分频和功率分频2类。前级分频是前级电路中由电子元件产生的分频,再由各自的功放分别驱动高﹑中﹑低音扬声器系统,如图(1a)所示,属于小信号有源分频。而功率分频则是由电感、电容、电阻元件构成的位于功放与扬声器之间的无源分频电路,如图(1b)所示。
采用功率分频的扬声器系统结构简单、成本低,而且又能获得很高的放音质量,因而在现代高保真放音系统中应用最为普遍。其性能的好坏与扬声器的各项指标以及分频电路、电感元件的性能、精度有密不可分的关系,精确计算电感参数便是成功的关键。
2 对分频器电路、元件的要求
(1)电路中电感元件直流电阻、电感值误差越小越好。而且为使频响曲线平坦最好使用空心电感。
(2)电路中电容元件损耗尽可能小。最好使用音频专用金属化聚丙烯电容。
(3)使各扬声器单元分配到较平坦的信号功率,且起到保护高频扬声器的作用。
(4)各频道分频组合传输功率特性应满足图2所示特性曲线的要求(P0为最大值,P1为对应分频点f1、f2的值)。分频点处的功率与功率最大值之间幅度应满足P1(=0.3~0.5)P0的范围。
(5)整个频段内损耗平坦,基本不出现“高峰”和“深谷”。
3 分频电感电容参数值的计算
下面以三分频分频器为例说明其参数的计算,如图3所示。
(1)计算分频电感L1,L2,L3,L4和分频电容C1,C2,C3,C4。
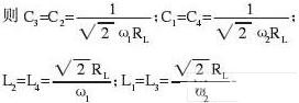
为了得到理想的频谱特性曲线,理论计算时可取:C1=C4,C3=C2,L1=L3,L4=L2,分频点频率为f1,(f2见图2),则分频点ω1=2πf0,ω2=2πf2。并设想高、中、低扬声器阻抗均相同为RL。每倍频程衰减12 dB。

下一篇:通信应用中差分电路设计技术