时间:2010-08-30 09:48
人气:
作者:admin
由于船体受海浪影响,而发生随机性摇摆(横摇、纵摇、偏航)会使天线视轴晃动,容易造成窄波束天线跟踪性能下降,甚至造成丢失目标。为准确跟踪目标,减小载体运动给天线跟踪带来的扰动,需建立一套抗扰动稳定系统,使天线输出视轴隔离船体扰动而稳定在惯性空间坐标系。保证系统的跟踪能力和跟踪性能的要求。
为了有效实现抗扰动功能,传统的方案上需要同时采用多模式补偿,利用至少6个速率陀螺检测船体的三维扰动信息和天线主动的旋转信息,根据天线三轴(方位轴、俯仰轴、横切轴)结构,结合前馈开环补偿和反馈闭环补偿,实现对扰动的隔离。方案设计复杂、陀螺使用量大且冗余度不够。
1 船体三维扰动对三轴天线视轴的影响
三轴天线系统(横切轴C、方位轴A、俯仰轴E),是在传统的A-E型座架基础上,在俯仰轴上叠加与之垂直的横切轴,横切轴垂直于电轴。当俯仰角E=0°时,横切轴与方位轴重合;当俯仰角E=90°时,横切轴与方位轴垂直。

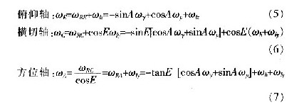
当船体以角速度矢量ωz=(ωpωyωh)表示扰动。其中:ωy为船横摇速度,ωp为船纵摇速度,ωh为船航向速度。船摇参数的变化转换到横倾轴、方位轴、俯仰轴的速度分量,如图1所示。设ωRE为船摇附加的方位速度,ωRC为船摇附加的横倾速度,ωRE为船摇附加的俯仰速度甲板坐标系:OXc为船艏艉线,艏为正,OYc为垂直甲板平面,向上为正,OZc按右手规确定。
由图l(a)可得:

当A=0°时,纵摇速度为ωp=0,只有横摇量ωy;当A=90°时,横摇速度为ωy=0,只有纵摇量ωp。在天线主动驱动和载体扰动的共同作用下,天线各轴的总的旋转速度为:

式(2)~式(4)是船体三维扰动在天线三轴上的反映,伺服控制系统可以采用开环补偿消除其对天线跟踪的影响。式(5)~式(7)是天线三轴在惯性空间总的转动信息,伺服控制系统可以采用闭环方式消除其对天线跟踪的影响。因此,设法正确测量出这些信息,并采取合适的控制模式,抑制扰动使天线快速、稳定跟踪目标是伺服系统抗扰动设计的核心。
2 抗扰动设计
船摇扰动是作为一种干扰信号引入伺服系统,稳定控制的原理就是检测这种干扰,采取闭环或开环方式降低或消除其影响。扰动隔离方法主要有:速率陀螺前馈补偿、速率陀螺反馈控制、复合控制等方法。由于陀螺闭环控制本质上是误差调整方式。陀螺测量出的是综合扰动信息,无法区分扰动信息分量和随动信息分量。所以陀螺环路在对扰动信息进行抑制的同时,也对天线的主动运动进行动态抑制,降低了系统的响应速度,同时使系统的稳定性变差。相对而言,前馈补偿是开环调整方式,测量出的就是扰动信息,把此信息加入速度环的输入端,使天线轴以与船摇相反的速度转动,起到补偿作用。同时,由于不改变跟踪环路的结构和参数,使系统的带宽不受影响、环路的稳定性好。
2.1 补偿原理
前馈补偿的方法是使天线向与扰动相反的方向转动,以克服扰动的影响。依据上述三维扰动在天线三轴上的反映,合理设计陀螺的安装位置,使之感应出船摇引起的天线三轴相对于惯性空间的运动速度,把这种运动速度作为对天线的扰动,加入速度环的输入端,使天线轴转动与船摇方向相反、大小相等的速度量,起到抑制作用。
2.2 控制实现
天线跟踪设备的三轴稳定控制采用测速机作为速度反馈,编码器作为位置反馈,并将船摇扰动经速率陀螺检测前馈于速度回路。工作原理框图如图2所示。

图2中,K1W1为位置回路校正控制传递函数;K2W2为速度回路闭环传递函数,F(S)为补偿通道传递函数,系统传递函数为:

由式(8)可知:回路跟随能力是由项

依据完全不变性原理,当(1+F(S)K2W2)ωf,即F(s)=-1/K2W2时,实现对船摇扰动的完全隔离,即满足这个条件时,不论扰动量ωf为多大,对输出无影响。可是,速度回路K2W2中含有积分环节、惯性环节、二阶环节,如果要实现完全的不变性,必然F(S)中要具有许多个微分环节,这样 F(S)的输出将充满噪声,使系统根本无法工作。但是实现局部的不变性是可能的。即用低阶微分代替高阶微分,并使其系数满足某种条件,从而满足系统精度的要求。
实际使用中,合理选择前馈补偿系数,使前馈回路最大化的消除当前扰动,在此基础上结合环路的跟随能力,有效的消除视轴的偏差,实现高精度跟踪。因此,前馈回路起到粗调节的作用,而位置跟踪回路则可称为精调节。
2.3 工程应用
2.3.1 安装与测量
采用3个速率陀螺测量出因船体摇摆引起的附加在方位轴、横倾轴和俯仰轴方向的速度,用于开环补偿。
俯仰陀螺安装在方位转台上,敏感轴与天线的俯仰轴平行,陀螺随方位轴运动,敏感不到方位轴的旋转、俯仰轴的旋转、船体的航向速率等,它敏感的是船体的横摇、纵摇速率,如式(2)所示,可直接对俯仰轴进行开环前馈补偿。

分析横倾轴的扰动(式(3))和方位轴的扰动(式(4)),无法用一只陀螺直接测量到,可用间接的方法获得。用2只陀螺分别测量cosAωy+s- inAωp和ωh,根据俯仰角E用数学的方法得到式(3)和式(4)。这样,测量ωh分量的速率陀螺安装在方位底座(不随方位轴转动),其敏感轴与方位轴平行,输出主要为船体的航向速率信息。测量cosAωy+sinAωp分量的速率陀螺安装在方位转盘上(随方位轴转动),其敏感轴与横倾轴平行。
2.3.2 测试与分析
某船载三轴天线控制系统采用抗扰动设计。在海上进行摇摆实验,在典型海况参数(摇摆振幅±6°,摇摆周期12s)下。天线指向卫星自跟踪,转动船的航向,使船升摇时测量俯仰轴的船摇隔离度。这时天线方位角转至90°或270°;测量横倾轴的船摇隔离度,使天线方位角转至0°或180°。隔离度测试结果如图 3所示。图中,曲线系列1表示加前馈跟踪数据;曲线系列2表示无前馈跟踪数据。测试结果为:船摇隔离度为46.4 dB;跟踪精度为0.031°。由以上数据分析,可以得出开环补偿方案完全满足系统设计的性能指标要求。

3 结束语
前馈补偿并未改变原闭环系统的极点和闭环零点。因此,不会影响系统的伺服带宽和稳定性。工程使用时融合了前馈补偿和反馈控制的应用,在保证功能、性能的同时,简化系统、提高设备的可靠性和使用寿命,实际使用效果显著。