时间:2010-08-04 16:26
人气:
作者:admin
扩频通信是一种有效常用抗干扰通信方式,是军事通信的主要手段,分为直接序列扩频、跳频、线性调频和跳时等基本技术及由基本技术组合构成的混合技术,所有技术中伪码的设计关系到系统抗干扰性能。现有扩频通信系统常用的伪随机序列有m序列、Gold序列、Walsh序列、M序列及卫星通信中常用的C/A码(粗/截获码)和精码(P码)等。在这些序列中,P码的性能优秀,码周期最长,在10.23 MHz的时钟速率下,码时间周期大约为266天。
本文在研究P码原理的基础上,提出了一种周期更长,保密性能好,可用于战时卫星测控通信的伪随机序列产生方法。
1 PN码设计原理
1.1 设计原则
在扩频抗干扰通信系统中,码的设计主要考虑码的相关特性、码的保密性(码的复杂度)、码容量等方面性能。具体要求如下:
(1)强自相关特性
系统中码同步往往利用码的相关特性来实现,这就要求码的自相关性能具有尖锐的自相关分布特点。
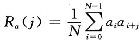
设有两个长度为N的序列{ai}和{bi},i=O,1,…,N-1,则序列的自相关函数定义为:

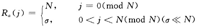
实际应用中,要求扩频通信中伪随机序列的自相关函数是二值的,即自相关函数Ra(j)为:

式中:N为序列自相关峰值,它等于序列的周期,即N=2n-1;σ为序列自相关的旁瓣值,它满足σ<
在无线通信系统中,为了减少多径干扰,实现多址通信,在自相关性能的基础上,还要求不同码之间的互相关性值低,因此在多用户系统中经常使用互相正交的PN序列。
对于序列{ai)和{bi},i=O,1,…,N-1,正交定义为:

(3)码容量大
由上述分析可以知道,在多用户系统中,正交码的多少决定了系统容量,因此希望在设计扩频码时要选择容量大的码序列。
(4)保密性好
扩频通信系统常用于军事通信,因此在设计码时,常采用如下手段:要减少码直流功率,使码中“O”,“1”数平衡相等;增加码的周期;采用非线性移位寄存器实现码序列。
1.2 码序列设计基础
伪随机序列的产生可以通过线性或者非线性移位寄存器来实现。由于m序列具有良好的伪随机性,所以GOLD,C/A,P等PN序列设计中都使用了小m序列,因此m序列是扩频通信的基本序列。
m序列是由n级线性移位寄存器产生的周期为N=2n-1的码序列,是最长线性移位寄存器序列的简称,具有优良的自相关特性,其产生原理如图1所示。

特征多项式为:
![]()
式中:ci称为反馈系数,取值为0或1;1表示参加反馈;O表示不参加反馈。移位寄存器能否产生m序列,由反馈系数的值决定;码周期由移位寄存器的个数决定;序列的线性复杂度直接决定了扩频系统的保密性能,分析m序列的线性产生的原理,只要能够截获序列的连续2n-1个码元就能给出系数ci的值,这样该m序列就被彻底破译。实际系统中经常将移位寄存器的几级输出序列或几个不同m序列的输出以非线性方式组合起来,产生一个使干扰者难以破解的非线性序列。本文利用该方法,参考P码的构造原理提出了一种周期很长,复杂度高的扩频序列码产生方法。
2 长周期码设计
本文根据需要设计了一种码时钟周期大于一年、相关性能与P码接近的PN序列,其原理如图2所示。

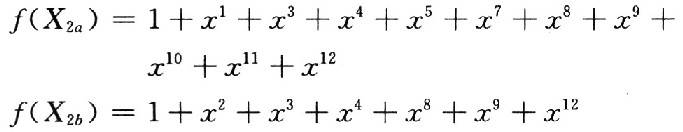
图2中4个12级线性移位寄存器的特征多项式分别为:


产生码周期为4095位的4个m序列。
根据复合码生成原理,码长度两两互素的几个码序列模2相加可以构成周期更长的复合码序列,并且长度为几个码长度之积。对这4个m序列分别予以截短,采用的方法是将X1a,X2a的码元数截短为4 092;将X1b,X2b的码元数截短为4 093;然后将截短序列X1a和X1b以及X2a和X2b分别进行模2相加,分别得到长度为4 092×4 093的长周期码,然后再对长周期码截短,分别截出码元数为15 345 000 b的X1和码元数为15 345 037 b的X2,再将X1,X2两截短序列进行模2相加得到更长序列X,最后X与3级线性移位寄存器所产生的m序列Y进行模2相加,构造成新的PN码。
利用该方法产生的PN序列,相关性能良好,容量大,且码的周期长。
假设时钟频率为10.23 MHz,则码元数为1 648 287 149 355 000 b,码元时间周期大于5年。
3 实验仿真结果
对产生的长周期PN序列的相关特性进行仿真,其自相关特性如图3所示,互相关特性如图4所示。

图3(a),图4(a)为4 095位m序列的相关特性图。从图3(a)中可以看出,码相位为零时自相关值最大为4 095,并且旁瓣值为-1;从图3(b)中可以看出,互相关值最大为479,与自相关最大值之比约为10 %。
图3(b),图4(b)为P码的相关特性图。自相关最大值为250 000,旁瓣值最大值为15 000,旁瓣平均值为500;互相关最大值为4 652,与自相关最大值之比约为1.8%。
图3(c),图4(c)为本文方法产生长周期码的相关特性图。自相关最大值为250 000,旁瓣值最大值为14 400,旁瓣平均值为400;互相关最大值为4 650,与自相关最大值之比为1.8%。
通过上述对比分析可以看出,长周期码具有与P码相类似的相关特性,虽然自相关性略差于m序列,但具有较好的互相关性能。
4 结语
在研究扩频通信PN序列设计原则与原理的基础上,提出了一种在10.23 MHz时钟频率下码周期大于5年,相关性能好的伪随机扩频序列产生方法。该方法通过对4个4 095位m序列进行截短及复合处理,得到中间序列,再与1个7位m序列进行复合操作,对PN序列的周期进行再扩展。经过仿真验证,该方法设计的PN序列相关性能优秀,周期很长,实现简单灵活,符合伪随机序列码的各种原则特性。
下一篇:OFDM基本原理及应用